9.1.1 Универсальные вольтметры
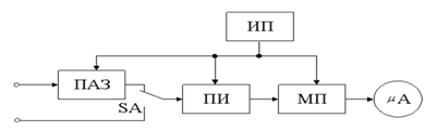
Функциональная схема универсального вольтметра:

Условные обозначения:
· ПАЗ - преобразователь амплитудных значений;
· ИП - измерительный преобразователь;
· ПИ - преобразователь импеданса;
· МП - масштабный преобразователь;
SA - переключатель.
При измерении постоянных напряжений универсальным вольтметром (УВ) входная величина через переключатель подаётся на вход преобразователя импеданса (ПИ), входной сигнал которого при необходимости преобразуется масштабным преобразователем (МП), нагрузкой которого является магнитоэлектрический микроамперметр. Преобразователи импеданса (ПИ) предназначены для согласования импедансов (полных сопротивлений) электронных схем, источника сигналов и нагрузки. Различают два вида ПИ:
1) преобразователи входного импеданса, осуществляющие согласование электронной схемы с источником сигнала;
2) преобразователи выходного импеданса, согласующие выходное сопротивление электронных схем с энергетическими свойствами отсчётных устройств.
Масштабными называются преобразователи потому, что с их помощью осуществляются изменения в ту или иную сторону (увеличение или уменьшение) уровней измерительных. Эти преобразователи делятся на 1) пассивные и 2) активные электрические ИПр. В преобразователях первой группы, типичными представителями которых являются резистивные (а также конденсаторные) делители и измерительные трансформаторы, - не требуется применения источников питания электрической энергией. Типичными представителями второй группы служат различные усилители как постоянного, так и значительно чаще переменного тока.
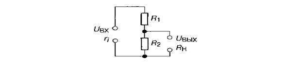
К пассивным резистивным Ипр. относятся:
- резистивные двигатели входных сигналов UBX. (резистор - промышленное изделие,ч асто именуемое электрорадиокомпонентом, основное функциональное назначение которого — оказывать известное активное сопротивление электрическому току. Резисторы характеризуют номинальным значением сопротивления в омах или соответствующих кратных единицах, допустимыми отклонениями от номинального значения в процентах и рассеиваемой в резисторе мощностью в ваттах или кратных единицах.
Схема простейшего резистивного делителя изображена на рис.9.1

Коэффициент преобразования такого ИП описывается отношением сопротивлений обоих резисторов.:

– измерительные трансформаторы тока и напряжения. Обладают возможностью не только деления (ослабления) входного сигнала, но и его умножения (усиления), а также, отсутствием гальванической связи между входом и выходом преобразователя: первичная и вторичная обмотки измерительного трансформатора не гальванически, а индуктивно (т.е. бесконтактно) связаны друг с другом.
К активными масштабными электрическими Ипр., относятся измерительные усилители электрических сигналов переменного тока, назначение которых — увеличение чувствительности средств измерений физических величин.. Различаются по схеме усилителей:
1) с непосредственной связью - полоса пропускания усилителя ограничена только сверху
2) резистивно-емкостной связью - полоса пропускания имеет ограничение и сверху и снизу






