СХЕМА БЕРНУЛЛИ
Пусть A – случайное событие по отношению к некоторому испытанию. Будем считать, что испытание имеет два исхода: наступление события A и ненаступление события A (т.е. наступление события` A). Если производится несколько таких испытаний, причем вероятность события A в каждом из них не зависит от исходов остальных, то такие испытания называют независимыми (относительно события A).
Говорят, что проводимый эксперимент удовлетворяет схеме Бернулли, если:
1) эксперимент состоит из n независимых испытаний;
2) каждое испытание имеет два исхода – наступление некоторого события A и наступление события` A;
3) вероятность события A в каждом испытании постоянна.
Теорема 2.10. Пусть производится n независимых испытаний, в каждом из которых вероятность появления события A равна p, а не появления – q. Тогда вероятность Pn (k) того, что в n испытаниях событие A появится ровно k раз, вычисляется по формуле Бернулли: Pn (k) = С nk · pk ·q n - k .
■ Наивероятнейшее число наступления события A в n испытаниях – число k=k0, при котором вероятность Pn(k) является наибольшей.
|
|
|
▲ Теорема 2.11. Если p ¹0 и p ¹1, то наивероятнейшее число k 0 можно определить из двойного неравенства: np –q £ k 0 £ np + p. Если np + p не является целым числом, то данное неравенство определяет лишь одно наивероятнейшее число. Если np + p – целое число, то имеются два наивероятнейших значения: k 0¢ = np – q и k 0¢¢ = np + p.
Пример 2.18. Вероятность попадания в мишень при выстреле равна 0,8. Найти: а) вероятность того, что при семи выстрелах произойдет пять попаданий в мишень; б) наивероятнейшее число k 0 попаданий в мишень при семи выстрелах.
Решение. Рассматриваемый в задаче эксперимент удовлетворяет схеме Бернулли. Пусть A – событие «Попадание в мишень при выстреле». Тогда событие` A означает «промах». По условию P (A) = p = 0,8, значит, P (` A) = q = 1 – p = 0,2.
а) Для нахождения пяти попаданий при семи выстрелах воспользуемся теоремой 2.10.: P 7(5) = С75· p 5·q7-5 =
» 0,275.
б) Наивероятнейшее число попаданий в мишень при семи выстрелах находим (согласно теоремы 2.11) из двойного неравенства 7·0,8-0,2 £ k 0 £ 7·0,8+0,8, т.е. 5,4 £ k 0 £ 6,4. Значит, k 0 = 6.
Ответ: а)» 0,275; 6.
▲ Теорема 2.12. Пусть производится n независимых испытаний, в каждом из которых вероятность появления события A равна p, а не появления – q. Тогда вероятность события, заключающегося в том, что при n испытаниях событие A появится не менее k 1 и не более k 2 раз, вычисляется по формуле: Pn (k 1£ k £ k 2) =
С nmpm q n - m .
Пример 2.19. Вероятность заболевания гриппом во время эпидемии равна 0,4. Найти вероятность того, что из 8 учеников класса заболеют не менее трех и не более шести учеников.
|
|
|
Решение. Рассматриваемый в задаче сюжет удовлетворяет схеме Бернулли, где p =0,4, q =1- p =0,6, n =8, k 1=3, k 2=6, поэтому Pn (3£ k £5) = С83 p 3 q 8-3 + С84 p 4 q 8-4 + С85 p 5 q 8-5 + С86 p 6 q 8-5 =
+
+ +
+
» 0,676.
Ответ:» 0,676.
В некоторых случаях возникает потребность вычисления вероятностей Pn (k) для весьма больших n и k, что сложно сделать с помощью формулы Бернулли. В этом случае используют приближенные формулы.
▲ Теорема 2.13. Пусть производится n независимых испытаний, в каждом из которых вероятность появления события A равна p, а непоявления – q. Тогда вероятность Pn (k) того, что в n испытаниях при достаточно большом n и малом p (например, n >100 и a = np <10) событие A появится ровно k раз, вычисляется по формуле Пуассона:

Вероятность события, заключающегося в том, что A появится не более m раз, вычисляется по формуле
Для облегчения проведения расчетов формулы Пуассона табулированы (см. таблицы 1 и 2 Приложения).
Пример 2.20. Известно, что 2,5% учащихся школы освобождены от занятий физкультурой. Найти вероятность того, что среди 200 школьников освобожденными от физкультуры окажется: а) ровно 4 ученика; б) не более 6 учеников.
Решение. Поскольку вероятность p =0,025 мала, n >100 и a = np = 5 < 10, то воспользовавшись формулами Пуассона и данными таблиц 1 и 2 Приложения, будем иметь:
Ответ: а) 0,1755; б) 0,7622.
При достаточно большом n и не слишком больших p и q формула Пуассона дает значительную погрешность, поэтому применяется другое приближение – формула Муавра-Лапласа.
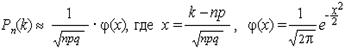
▲ Теорема 2.14. (Локальная теорема Лапласа). Если вероятность p появления события A в каждом испытании постоянна и отлична от нуля и единицы, то вероятность того, что событие A появится в n испытаниях ровно k раз, приближенно равна
![]() |
.
Значение функции j(x) помещены в таблице 3 Приложения (в силу четности функции, таблица ее значений составлена при x ³0).
Пример 2.21. Найти вероятность того, что событие А наступит ровно 80 раз в 400 испытаниях, если вероятность появления этого события в каждом испытании равна 0.2.
Решение. По условию n =400; k =80; p =0,2; q =0,8. Воспользуемся локальной теоремой Лапласа: P 400(80)»
· j(x) =
·j(x). Вычислим определяемое данными задачи значение х: x =
= 0. По таблице 3 Приложения находим j (0) = 0,3989. Значит, искомая вероятность P 400(80)»
· 0,3989 = 0,04986.
Ответ: 0,04986.
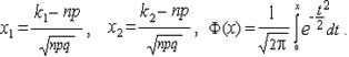
▲ Теорема 2.15. (Интегральная теорема Лапласа). Пусть производится n независимых испытаний, в каждом из которых вероятность появления события A равна p, а непоявления – q. Тогда вероятность события, заключающегося в том, что при n испытаниях событие A появится не менее k 1 и не более k 2 раз, равна
Pn (k 1£ k £ k 2)» Ф(x 2) – Ф(x 1),
![]() |
где
Функция Ф(x) называется функцией Лапласа. Эта функция нечетная (Ф(- x) = -Ф(x)), ее значения для 0£ x <5 представлены в таблице 4 Приложения (для x ³5 Ф(x)» 0,5).
Пример 2.22. Вероятность того, что абитуриенты, получившие образование в лицее, поступают в вузы равна 0,8. Какова вероятность того, что из 100 абитуриентов-лицеистов не менее 75 поступят в вузы.
Решение. Учитывая, что n = 100 велико, p =0,8 и q=0,2 не малы, воспользуемся интегральной теоремой Лапласа
P 100(75£ k £100)» Ф(x 2) – Ф(x 1) =
=
= Ф(5) – Ф(-1,2) = Ф(5)+Ф(1,2) =0,5+0,385 = 0,885.
Шифратор – схема, имеющая 2n входов и n выходов, функции которой во многом противоположны функции дешифратора (рис. 1.4). Эта комбинационная схема в соответствии с унитарным кодом на своих входах формирует позиционный код на выходе (таблица 1.2).

Рис. 1.4. Условно-графическое обозначение шифратора на 4 входа
| Таблица 1.2. | |||||
| Входы | Выходы | ||||
| х | |||||
| x | х | ||||
| х | x | х |

