Таблица 3.3
| № пп | xi * (баллы) | ni | nixi * |
| 1 296 | |||
| 2 280 | |||
| 2 720 | |||
| Сумма | 7 712 |
Пример 3.9. Средний балл, полученный учащимися класса за контрольную работу, находится по формуле: B =
, где a - число школьников, получивших оценку "5"; b - число школьников, получивших оценку "4"; c -число школьников, получивших оценку "3"; d - число школьников, получивших оценку "2".
Пример 3.10. На соревнованиях по фигурному катанию 2 фигуристки получили (по шестибалльной шкале) оценки судей, представленные в таблице на рис. 3.7. Которая из фигуристок выступила лучше?
| Номер фигуристки | Номер судьи | ||||||||
| 4,8 | 5,6 | 4,9 | 5,2 | 4,7 | 4,9 | 4,9 | 4,8 | 4,7 | |
| 5,1 | 4,2 | 5,0 | 4,9 | 5,0 | 5,1 | 5,0 | 5,1 | 5,0 |
Рис. 3.7
Решение. Запишем в таблицы (см. рис. 3.8) распределение по частотам оценок X и У, выставленных соответственно первой и второй фигуристкам:
| X | 4,7 | 4,8 | 4,9 | 5,2 | 5,6 | У | 4,2 | 4,9 | 5,0 | 5,1 | |
| ni | ni |
Рис. 3.8
Найдем среднее значение оценок каждой из фигуристок: ` x» 4,94;` y» 4,93. Видим, что` x > ` y. Хотя очевидно, что у второй фигуристки почти все оценки больше 5,0, а у первой – меньше 5,0. При этом сравнение в пользу второй фигуристки выглядит несправедливым. Такой результат получен, скорее всего, из-за необъективности 2-го судьи, завысившего по сравнению с остальными судьями оценку первой фигуристке и занизившего оценку второй фигуристке.
Для большей объективности сравнения результатов в последние годы на международных соревнованиях из совокупности баллов каждого фигуриста отбрасывают наибольшее и наименьшее значения. После отбрасывания наибольшего и наименьшего значений из совокупности баллов каждой фигуристки имеем:
» 4,89;
» 5,01. Так как
<
, считаем, что вторая фигуристка выступала лучше первой.
Ответ: вторая фигуристка выступала лучше первой.
■ Медиана (Me) определяется как показатель середины вариационного ряда. Например, при наличии в классе 25 учащихся это будет оценка результатов тринадцатого ученика в списке, где все ученики распределены по их ранговым оценкам. В ряду с четным числом членов медиана равна среднему арифметическому двух центральных значений. Ясно, что медиана делит упорядоченный ряд чисел на две равные по количеству элементов части: в одной из них значения не больше медианы, в другой – не меньше медианы.
Медиана имеет свойство, значимое для решения прикладных задач: сумма абсолютных величин отклонений от нее является для рассматриваемой совокупности минимальной.
■ Мода (Mо) – значение вариационного ряда, которое встречается наиболее часто. Например, для ряда на рис. 3.4 мода равна 7.
Если в выборке среднее значение существенно отличается от моды, то его неразумно выбирать в качестве типичного представителя совокупности данных (чем больше значение моды отличается от среднего, тем «более несимметричен» полигон частот совокупности).
■ Размах выборки (вариации) (w) – разность между максимальным и минимальным элементами выборки, т.е. w = xmax – xmin. Информативность этого показателя невелика. Можно привести очень много распределений, сильно отличающихся по форме, но имеющих одинаковый размах.
Пример 3.11. Найдите размах, среднее, моду и медиану выборки, представленной в Примере 3.3.
Решение. Запишем предложенные значения в виде вариационного ряда: 2, 2, 2, 3, 4, 4, 5, 5, 5, 7, 7, 7, 7, 10, 10. Размах выборки w = 10 – 2 = 8; среднее` x =
· (3·2 + 1·3 + 2·4+ 3·5+ 4·7+ 2·10)» 5,3; наиболее часто встречается значение 7, значит, мода Мо = 7; середина вариационного ряда приходится на 8-й элемент, значит, медиана Me =5.
Ответ: w = 8;` x» 5,3; Мо = 7; Me =5.
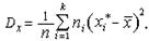
■ Дисперсию (Dx) вычисляют по приведенным ниже формулам:
Для несгруппированных данных:
![]() |
для сгруппированных данных:
![]() |
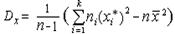
На практике используют другие расчетные формулы. Для несгруппированных данных:
(3.3)
или
![]() |
(3.4)
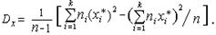
Если данные сгруппированы
![]() |
(3.5)
или
(3.6)
Дисперсия равна среднему квадрату отклонений значения варианты от среднего значения. Она выступает как одна из характеристик индивидуальных результатов разброса значений исследуемой переменной (например, оценок учащихся) вокруг срднего значения. Значение дисперсии используется в различных статистических расчетах, но не имеет непосредственно наблюдаемого характера. Величиной, непосредственно связанной с содержанием наблюдаемой переменной, является среднее квадратическое отклонение.
■ Стандартное отклонение (или среднеквадратическое отклонение) – положительный квадратный корень из дисперсии: s =
. Размерность стандартного отклонения в отличие от размерности дисперсии совпадает с единицами измерения варьирующего признака, поэтому в практической статистике для характеристики рассеяния используют обычно стандартное отклонение, а не дисперсию.
Пример 3.12. Найдите дисперсию и стандартное отклонение результатов тестирования 15 учеников 3-го класса (см. Пример 3.7).
Решение. По формуле (3.4) получаем Dx =
(772 987 –
)» 198,1 (балла2). Тогда s =
» 14,1 (балла). Промежуточные расчеты приведены в таблице 3.4.
Ответ: Dx» 198,1 балла2; s»14,1 балла.










