ЛЕКЦИЯ №14
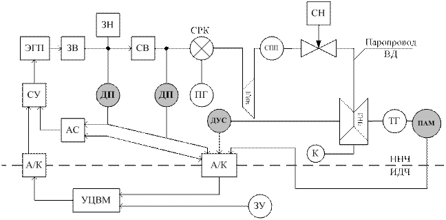
Структурная схема цифро-аналоговой системы регулирования представлена на рисунке 14.1.

Рисунок 14.1 – Структурная схема цифро-аналоговой системы регулирования
ННЧ – неизменная непрерывная часть; НДЧ – изменяемая дискретна часть;
ЭГП – электрогидравлический преобразователь; СВ – сервомотор высокого давления; ЗВ – отсечной золотник СВ; ДП – датчик положения; АС – аналоговый стабилизатор положения исполнительных органов; СУ – суммирующий усилитель; ЭГСП – электронно-гидравлический следящий привод; СН – сервомотор низкого давления; ДУС – датчик угловой скорости (частоты) вращения ротора; ПАМ – датчик мощности (преобразователь активной мощности);
ЗН – золотник СН; СРК – стопорно-регулирующий клапан; ПГ – парогенератор; ЧВД – часть высокого давления парового тракта турбины; СПП – сепаратор-прогреватель; ОК – отсечной клапан; ЧНД – часть низкого давления;
К – конденсатор; ТГ – турбогенератор; А/К – преобразователь «аналог-код»;
К/А – преобразователь «код-аналог»; ЗУ – задатчик установок регулируемых параметров турбины;
Схема предназначена для автоматического регулирования ведущих параметров состояния турбины:
· частоты вращения ротора;
· мощности;
· давления пара перед турбиной.
Рассмотрим различные математические модели ННЧ для режимов
поддержания мощности (РМ) и поддержания частоты (РЧ), опустив режимы поддержания давления (РД).
1. Уравнение сумматора (СУ) ЭГП:
| (14.1) |
где
– сигнал датчика положения отсечного золотника ЗВ;
– сигнал датчика положения сервомотора высокого давления СВ;
– управляющий сигнал с УЦВМ.
2. Уравнение ЭГП:
| (14.2) |
где
– координата ЭГП;
– текущее время.
3. Уравнение датчика положения отсечного золотника ЗВ:
| (14.3) |
где
– координата ЗВ.
4. Уравнение датчика положения СВ:
| (14.4) |
где
– координата сервомотора высокого давления.
5. Уравнение отсечного золотника ЗВ:
| (14.5) |
6. Уравнение сервомотора высокого давления:
| (14.6) |
где
7. Уравнение паровой ёмкости турбины:
(14.7)
где 






