Ценовая дискриминация третьей степени отличается тем, что за основу ее принимается не различие цен спроса на отдельные единицы товара, как это имеет место при дискриминации первых двух степеней, а разделение самих покупателей на группы с различными функциями спроса (сегментация рынка). В этом случае задача монополиста — установить такие цены для каждой группы покупателей, которые максимизируют общую прибыль.
Примером ценовой дискриминации третьей степени может служить то, что в России гостиничные тарифы, входная плата в музеи для иностранцев значительно выше, чем для российских граждан. Другими примерами может служить различная оплата на подписку специализированных журналов для индивидуальных подписчиков и для организаций или различные цены в музеи, кинотеатры для пенсионеров, студентов и других граждан.
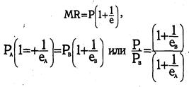
Условие максимизации общей прибыли для монополии, проводящей ценовую дискриминацию третьей степени, вытекает из уравнения:
![]() |
MR1 = MR2 =... = МRΣ= МС, то есть предельный доход на каждом рынке одинаков и равен общему предельному доходу монополиста и предельным затратам на весь объем выпуска.
|
|
|
Рис. 4. Ценовая дискриминация третьей степени
На рис. 4 показано положение монополии, проводящей ценовую дискриминацию третьей степени на основе разделения покупателей на два рынка — А и В, характеризующихся соответственно линиями спроса DА и DВ, при этом рынок А меньше по объему, но более эластичен, чем рынок В. МRА и MRВ — соответственно линии предельного дохода. Пунктирная линия МRΣ — линия общего предельного дохода монополиста, представляющая горизонтальную сумму МRА и МRВ
Общий объем выпуска Q определяется пересечением МС и МRΣ Проходящая через точку пересечения Е горизонтальная линия EMR — линия равного предельного дохода. Точки пересечения этой линии с линиями предельного дохода МRА и МRВ позволяют определить объемы продаж и цен для каждого рынка. На рынке А будет реализовано QА единиц товара по цене РА, на рынке В — QВ единиц товара по цене PВ. При таком решении окажется, что МRА = МRВ = МRΣ = МС.
![]() |
Поскольку предельные доходы двух рассматриваемых рынков равны и, как мы уже знаем, можно написать равенство:
Очевидно, что при одинаковой эластичности спроса (еА= eВ) ценовая дискриминация невозможна (РА = РВ). Если же эластичность спроса на разных рынках различна, то там, где она больше, ниже цена (eА>eВ, PА<PВ).
В целом выпуск в условиях ценовой дискриминации выше, чем в условиях простой монополии и приближается к тому же уровню, что и при совершенной конкуренции. Некоторые товары и услуги вообще не могли бы производиться без ценовой дискриминации при их реализации. В этом одна из причин того, что государство обычно поддерживает проведение такой политики и само проводит ее. Другая причина в том, что ценовая дискриминация уменьшает различия в реальных доходах потребителей.
|
|
|
Однако нельзя считать, что ценовая дискриминация безусловно выгодна обществу; она может сопровождаться неэффективным межотраслевым распределением ресурсов. Дело в том, что увеличение производства за пределы, определяемые равенством МС = MR, означает, что теперь каждая дополнительная единица продукции производится с затратами, превышающими цену спроса на эту единицу, и поэтому есть смысл поискать другую сферу приложения дополнительных затрат.
Условия осуществления ценовой дискриминации:
1) различная эластичность спроса для разных покупателей
2) наличие у фирмы определенной рыночной власти
3) возможность разделить покупателей по группам
4) возможность исключить перепродажу товара со стороны потребителей, покупающих его по высокой цене.








