Кольцевая форма художественного текста

На первый взгляд, это всего лишь последний штрих, завершающий образ вечной могилы Дика, его огромного тулупа. Но если Земля - шуба, которую сшил для себя Дик, то, надев ее, он носит всю планету со всеми ее зимами, а потому, несмотря на свою гибель, Дик - победитель. Таков Человек: и погибая, он побеждает.

И носит земной шар.

    А.Э. Хаусмен Нередко художественный текст представляет собой кольцо: кончается теми же словами, какими и начинается. Но при этом экспозиция и концовка существенно различаются по восприятию.     Нередко художественный текст строится так, что концовка полностью или частично повторяет экспозицию (зачин). Получается кольцо: с чего начали, тем и закончили. Значит ли это, что тема осталась нераскрытой? Вовсе нет. В таких случаях не следует забывать, что между началом и концом художественного текста есть основная часть, после которой содержание зачина, повторенное в концовке, не может восприниматься так же, как в зачине. Вспомним "Триолет Лизете" - яркий пример стихотворения, форма которого представляет собой кольцо. В этом произведении экспозиция и концовка внешне почти не отличаются друг от друга. Но это только внешнее совпадение, говорящее лишь о том, что автор не ушел от взятой им темы. Анализ текста показывает, что кольцевая форма не только не помешала Карамзину в работе над темой, но, напротив, помогла ему. Увидев злость Лизеты, лирический герой совершенно неожиданно для нас повторил то, что говорил в зачине - тогда, когда не знал злости возлюбленной и рисовал ее образ исключительно в розовых тонах. При этом он, как и в экспозиции, вздохнул. Это повторение зачина дает нам почувствовать, что восторженное отношение героя к Лизете вопреки нашим ожиданиям не исчезло. Однако теперь, в концовке, оно приобрело совсем иной смысл: герой восхищается чудесным соединением в образе возлюбленной исключительного позитива со столь же исключительным негативом. И это новое чувство восхищения, испытанное лирическим героем, - не розовое, не слепое, как вначале, а сдержанное, мудрое, - передается нам, ибо каким еще может быть земное чудо, как не соединением исключительной добродетели с исключительным пороком? Лекция 7 ТЕОРИЯ КАТАРСИСА Л. С. ВЫГОТСКОГО
    Художественное творчество как социальная проблема. Теория заражения Л. Н. Толстого Аристотель о специфике художественного творчества Понятие катарсиса у Л. С. Выготского 1. Художественное творчество как социальная проблема. Теория заражения Л. Н. Толстого       Рассмотрим, как выявленная нами логика художественного творчества связана с его социальной функцией.     В разговоре о художественном творчестве основное внимание мы уделили его логической специфике, а вопрос о его социальной функции оставили в стороне. Теперь нам следует поставить этот вопрос во главу угла, иначе логика художественного произведения останется непонятой нами. Зачем обществу нужны художники? Казалось бы, ответ прост: для украшения жизни. Но это неточный ответ. Дело в том, что украшать жизнь можно и художественно и нехудожественно. Например, покрасив забор в приятный цвет, вы украсили свой быт, но это не означает, что ваша деятельность несомненно была художественной. Вы можете покрасить забор, как художник, но можете сделать это и проще, действуя как обычный маляр. То, что художник и мастер - не одно и то же, иногда не учитывают даже гениальные художники, принижая тем самым социальную роль своего творчества. Для примера рассмотрим эстетические воззрения Л. Н. Толстого.       Определяя социальную функцию художественного творчества, Толстой приравнивал эстетическое чувство к обычному, сводя художественное искусство к искусству развлечения.     Определяя социальную функцию художественного творчества, Толстой приравнивал эстетическое чувство к обычному, сводя художественное искусство к искусству развлечения, к искусству заражать положительными эмоциями. "Вот на этой-то способности людей заражаться чувствами других людей и основана деятельность искусства, - утверждал он. -... Чувства, самые разнообразные, очень сильные и очень слабые, очень значительные и очень ничтожные, очень дурные и очень хорошие, если только они заражают читателя, зрителя, слушателя, составляют предмет искусства"9. Чувства составляют предмет не любого искусства, а только искусства развлечения, но Толстой приписывал этот предмет и художественному творчеству. Отождествляя развлекательное и художественное искусство, он пришел к выводу, что критерием художественности творчества является его заразительность. С этой точки зрения Толстой сопоставил два своих впечатления: то, которое произвело на него пение свадебного хоровода баб, величавших его дочь, и то, которое осталось у него от игры прекрасного музыканта, исполнившего сонату Бетховена. Пение хоровода заразило писателя сильным и определенным чувством радости, а соната не произвела на него такого же сильного и определенного впечатления. На этом основании к истинному художественному искусству Толстой отнес только пение хоровода. "Нам думается, - пишет, возражая Толстому, Л. С. Выготский, - что если мы сравним по заразительности обыкновенный крик ужаса и сильнейший роман или трагедию, то произведение искусства не выдержит этого сравнения, и очевидно, что надо привнести нечто еще иное к простой заразительности для того, чтобы понять, что такое искусство"10. Искусство художника, подчеркивает психолог, не предназначено для того, чтобы вызывать какую-либо обычную эмоцию. "…Как безотрадно было бы дело искусства в жизни, если бы оно не имело другой задачи, кроме как заражать чувствами одного многих людей. Его значение и роль были бы при этом чрезвычайно незначительны, потому что в конце концов никакого выхода за пределы единичного чувства, кроме его количественного расширения, мы не имели бы в искусстве. Чудо искусства тогда напоминало бы безотрадное евангельское чудо, когда пятью-шестью хлебами и двенадцатью рыбами была накормлена тысяча человек, и все ели и были сыты, и оставшихся костей набрано двенадцать коробов. Здесь чудо только в количестве - тысяча евших и насытившихся, но каждый ел только рыбу и хлеб, хлеб и рыбу. И не то ли же самое ел каждый из них каждый день в своем доме без всякого чуда? Если бы стихотворение о грусти не имело никакой другой задачи, как заразить нас авторской грустью, это было бы очень грустно для искусства. Чудо искусства, скорее, напоминает другое евангельское чудо - претворение воды в вино, и настоящая природа искусства всегда несет в себе нечто претворяющее, преодолевающее обыкновенное чувство, и тот же самый страх, и та же самая боль, и то же волнение, когда они вызываются искусством, заключают в себе еще нечто сверх того, что в них содержится. И это нечто преодолевает эти чувства, просветляет их, претворяет их воду в вино, и таким образом осуществляется самое важное назначение искусства. Искусство относится к жизни, как вино к винограду, сказал один из мыслителей, и он был совершенно прав, указывая этим на то, что искусство берет свой материал из жизни, но дает сверх этого материала нечто такое, что в свойствах самого материала еще не содержится"11. В противовес теории заражения Выготский выдвинул свою теорию, при создании которой он использовал понятие катарсиса, введенное в эстетику еще Аристотелем. 2. Аристотель о специфике художественного творчества     Л.Н. Толстой Аристотель ввел в исследование художественного творчества понятие катарсиса (духовного очищения). Часто ошибочно утверждают, будто он связывал катарсис исключительно с трагедией.     Когда специалисты-эстетики обсуждают проблему катарсиса, они обязательно вспоминают "Поэтику" Аристотеля. Там имеется следующее весьма примечательное определение сущности трагедии: "Трагедия есть подражание действию важному и законченному, имеющему [определенный] объем, [производимое] речью, услащенной по-разному в различных ее частях, [производимое] в действии, а не в повествовании и совершающее посредством сострадания и страха очищение (katharsis) подобных страстей"12. По-видимому, именно из-за того, что в "Поэтике" катарсис упоминается лишь в данном определении, распространилось мнение, будто он, согласно Аристотелю, возникает исключительно при восприятии театральной трагедии, а не каких-либо еще форм художественного творчества. Но, если бы эстетики, которые придерживаются указанного мнения, были бы чуть-чуть полюбопытнее, не замыкались в узкопрофессиональных вопросах и, кроме "Поэтики", проявили интерес к аристотелевской "Политике", они нашли бы там несколько упоминаний о катарсисе и при этом в большинстве из них не нашли бы явной привязки к театральной трагедии. Наставляя политических деятелей о том, каким должно быть музыкальное воспитание граждан, Аристотель говорит: "…Флейта - инструмент, не способный воздействовать на нравственные свойства, а способствующий оргиастическому возбуждению, почему и обращаться к ней надлежит в таких случаях, когда зрелище скорее оказывает на человека очистительное действие (katharsin), нежели способно его чему-либо научить"13. Здесь упомянут катарсис, но не сказано про трагедию. Правда, последняя может поразумеваться под словом "зрелище", но такое предположение в других местах "Политики", говорящих о катарсисе, не получает никакого подтверждения.     Аристотель Стагирит, великий греческий философ       Вот что сказано в "Политике" о видах мелодий: "Ввиду того, что мы принимаем то подразделение мелодии, какое установлено некоторыми философами, различающими мелодии этические, практические и энтузиастические и определяющими природу отдельных ладов, соответствующую каждому виду этих мелодий, мы утверждаем, что музыкой следует пользоваться не ради одной цели, а ради нескольких: и ради воспитания, и ради очищения … в-третьих, ради времяпрепровождения, т. е. ради успокоения и отдохновения от напряженной деятельности"14. И далее: "Для воспитания следует обращаться к тем ладам, которые более всего соответствуют этическим мелодиям, для слушателей же, когда музыкальное произведение исполняется другими лицами, можно пользоваться и практическими и энтузиастическими мелодиями. Ведь переживаниям, сильно действующим на душу некоторых людей, подвержены в сущности все - различие лишь в степени; примеры - состояние жалости, страха, а также энтузиазма. И энтузиастическому возбуждению подвержены некоторые люди, впадающие в него, как мы видим, под влиянием религиозных песнопений, когда эти песнопения действуют возбуждающим образом на душу и приносят как бы исцеление (iatreia) и очищение (katharsis). То же самое неизбежно испытывают и те, кто подвержен состоянию жалости и страха и вообще всякого рода переживаниям, - такое переживание свойственно всякому; все такие люди получают некое очищение и облегчение, связанное с удовольствием; точно так же песнопения очистительного характера доставляют людям безобидную радость. Поэтому такого рода ладами и соответствующими им мелодиями следует предоставить пользоваться актерам, исполняющим музыкальные партии в театре. Так как зритель бывает двоякого рода, один - свободнорожденный и образованный, другой - грубый, из ремесленников, поденщиков и тому подобных, то и для этого последнего нужно в целях предоставления ему отдыха устраивать состязания и зрелища. Подобно тому как души их отклоняются в сторону от естественного состояния, так и в музыкальных ладах есть отклонения, а в мелодиях наблюдается повышенное напряжение и противная природе окраска. … Для воспитания же, как сказано выше, нужно пользоваться мелодиями этического характера и соответствующими им ладами"15. Мы видим, что, говоря о мелодиях, Аристотель делит их по степени совершенства, различая при этом, как и "некоторые философы" до него, три основных вида - этические, энтузиастические и практические мелодии. Катартическое (очистительное) воздействие он приписывает лишь одному из выделенных видов, причем не самому совершенному, а именно - энтузиастическим мелодиям, характерным для религиозных песнопений. Эти мелодии Аристотель рекомендует для театра - судя по его "Поэтике", не для любой пьесы, а только для трагедии, ибо последняя, как и энтузиастическая мелодия, призвана очищать от страстей.     Юноша-флейтист в спартанском войске Ограниченность Аристотеля по отношению к катарсису проявилась в том, что философ связывал его лишь с одним из трех выделяемых в древней Греции типов художественного творчества, причем средним по степени совершенства.     Таким образом, Аристотель заключает катарсис в рамки одного из трех видов искусства, среднего по степени совершенства, - в рамки энтузиастического искусства, - выказывая тем самым ограниченное и пренебрежительное представление о роли катарсиса и в искусстве, и в обществе в целом. 3. Понятие катарсиса у Л. С. Выготского Даже в наше время распространено мнение, будто художественное творчество - дело сугубо личное, субъективное, случайное, будто обществу безразлично, есть ли, нет ли в нем художники, так как их наличие или отсутствие якобы не оказывает существенного влияния на общественную жизнь. Это пережитки субъективистской эстетики. Субъективисты не учитывают того, что всякое социальное явление, веками существующее в обществе и занимающее в нем видное место, не может быть случайным - оно играет какую-то важную общественную роль. Но в чем заключается общественная роль художественного творчества? Разработанная Л. С. Выготским теория катарсиса помогает дать на этот вопрос строго научный ответ.       Л. С. Выготский видел социальную функцию художественного творчества в обобществлении чувств.     "…Чувство первоначально индивидуально, а через произведение искусства оно становится общественным или обобщается", - утверждает Выготский16. Обобществление чувств при художественном творчестве ускользает от научного анализа, когда художественное искусство сводят к до- или нехудожественному. Сам Выготский дает почву для такой редукции, когда, имея в виду лишь художественное искусство, пишет просто: "искусство". Поначалу искусство не было художественным и имело ярко выраженный практический характер. К примеру, песня организовывала коллективный труд, помогая людям действовать вместе в едином ритме. Художественным искусство становится тогда, когда оно отрывается от практики и начинает существовать как самостоятельная деятельность. Но, потеряв непосредственную связь с практической деятельностью, искусство остается искусством: оно, как и прежде, организует совместный труд, только теперь делает это опосредованно, через эмоциональный мир человека. Художественное искусство вызывает эмоциональную реакцию особого, эстетического характера. "Мы могли бы сказать, что основой эстетической реакции являются вызываемые искусством аффекты, переживаемые нами со всей реальностью и силой, но находящие себе разряд в той деятельности фантазии, которой требует от нас всякий раз восприятие искусства. Благодаря этому центральному разряду чрезвычайно задерживается и подавляется внешняя моторная сторона аффекта, и нам начинает казаться, что мы переживаем только призрачные чувства. На этом единстве чувства и фантазии и основано всякое искусство. Ближайшей его особенностью является то, что оно, вызывая в нас противоположно направленные аффекты, задерживает … моторное выражение эмоций и, сталкивая противоположные импульсы, уничтожает аффекты содержания, аффекты формы, приводя к взрыву, к разряду нервной энергии. В этом превращении аффектов, в их самосгорании, во взрывной реакции, приводящей к разряду тех эмоций, которые тут же были вызваны, и заключается катарсис эстетической реакции"17.       Катарсис, по Выготскому, есть синтез противоположных эмоций, искусственно создаваемый художником для общественного регулирования эмоционального мира личности.     Таким образом, катарсис, по Выготскому, есть синтез противоположных эмоций, искусственно создаваемый художником. Для чего нужен этот синтез? Дело в том, что человек, участвуя в общественной жизни, как правило, не имеет возможности непосредственно переходить от положительной эмоции к отрицательной и наоборот с тем, чтобы в его эмоциональной сфере сохранялся необходимый для нормальной жизнедеятельности баланс. В результате чувства оказываются разбалансированными: одно из них доминирует над другими, подавляет их, делая эмоциональную реакцию на то или иное событие неадекватной. Вот в таких случаях и приходит на помощь художественное искусство - "общественная техника чувства"18. Например, солдат, в строю наступая на врага, часто испытывает страх, который не удается погасить боевым задором. В этих условиях помогает военная музыка, роль которой "сводится вовсе не к тому, что она вызывает боевые эмоции, а, скорее, к тому, что она, уравновешивая в общем организм в этот критический для него момент со средой, дисциплинирует, упорядочивает его работу, дает нужный разряд его чувству"19. Художественное искусство, таким образом, никогда прямо не порождает из себя того или иного практического действия, оно только готовит к этому действию, регулируя эмоциональную сферу личности в соответствии с потребностями общества. "Искусство есть … организация нашего поведения на будущее, установка вперед, требование, которое, может быть, никогда и не будет осуществлено, но которое заставляет нас стремиться поверх нашей жизни к тому, что лежит за ней"20. Итак, художественное творчество играет очень важную роль общественного регулятора эмоционального мира личности. Оно необходимо и для становления личности, для воспитания общественного человека. "Недаром искусство с самых древних времен рассматривалось как часть и как средство воспитания, т. е. известного длительного изменения нашего поведения и нашего организма. …Все прикладное значение искусства в конечном счете и сводится к его воспитывающему действию, и все авторы, которые видят родство между педагогикой и искусством, получают … подтверждение своим мыслям со стороны психологического анализа"21. Лекция 8 МЕТОДЫ РАЗВИТИЯ ТВОРЧЕСТВА
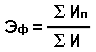
      Эвристика. Мозговой штурм Оценка эффективности методов поиска творческих решений Недостатки мозгового штурма Теория решения изобретательских задач Г. С. Альтшуллера Идеалистические недостатки ТРИЗ 1. Эвристика. Мозговой штурм Как было отмечено выше, научное исследование творчества до сих пор носит преимущественно описательный характер. Однако ускоряющийся прогресс во всех сферах общества все более остро ставит вопрос об эффективности умственного труда, формирует потребность в обеспечении целенаправленности и целесообразности творческого процесса, его управляемости и результативности. В этой ситуации не могла не появиться эвристика - особая наука о творчестве.     Военная музыка не прибавляет воинственности, а укрепляет воинский дух Главная цель эвристики - создание модели творческого акта. Для достижения этой цели разрабатываются методы организации творчества, самый известный из которых - мозговой штурм.     Главная цель эвристики - создание модели творческого акта. Для достижения этой цели разрабатываются методы организации творчества. Сначала такие методы были довольно примитивными. Яркий пример - мозговой штурм (brain storming), появившийся в середине ХХ века и быстро завоевавший популярность благодаря своей простоте. Мозговой штурм - это метод группового поиска путей решения какой-либо нестандартной задачи. Творческий процесс делится на два этапа: 1) генерирование идей, 2) экспертиза идей. На этапе генерирования идей в максимально свободной форме, т. е. без оглядки на логику и факты, проводится краткий сеанс совместного поиска различных вариантов решения данной задачи. При этом упор делается на интуицию. На втором этапе варианты решения задачи, предложенные на первом этапе, проходят научную экспертизу с использованием формально-логического анализа. При хорошо организованном штурме за 40 - 45 минут выдвигается 60 - 80 идей. Штурм считается удачным, если в результате работы группы из шести-восьми членов хотя бы одна идея получает признание экспертов. 2. Оценка эффективности методов поиска творческих решений Для оценки эффективности методов поиска творческих решений можно использовать два относительных параметра - количественный и качественный. Количественный параметр представляет собой отношение числа полезных идей (Ип) к общему числу идей (И), полученных в результате использования данного метода: Для определения качественного параметра вводится понятие идеального объекта, в качестве которого рассматривается предел совершенствования реального объекта. Идеализация объекта, созданного для выполнения определенной функции (Ф), сводится к снижению затрат (З) на его проектирование, изготовление, эксплуатацию и утилизацию:       Идеальность объекта достигается тогда, когда он фактически отсутствует, а его функция выполняется.     Идеальность объекта достигается тогда, когда он фактически отсутствует (затраты на него равны нулю), а его функция тем не менее выполняется. 3. Недостатки мозгового штурма С помощью количественного параметра эффективность мозгового штурма оценивается следующим образом: Пытаясь применить качественный параметр, мы обнаруживаем, что сделать это невозможно, так как в мозговом штурме отсутствуют критерии для оценки выдвигаемых идей, а потому нет целенаправленного движения к наиболее сильному решению. Применение мозгового штурма показало, что он ни в чистом виде, ни в многочисленных модификациях не способен решать сложные задачи. Анализ сущности этого метода выявил свойственное ему противоречие: чтобы развивать идею на стадии ее генерирования, направляя обсуждение задачи в единое русло, нужна критика, но правила мозгового штурма категорически запрещают критиковать выдвигаемые идеи. Указанное противоречие смягчено в синектике У. Гордона, где штурм проводится специально подготовленной группой, члены которой в ходе обсуждения задачи сознательно используют аналогию разных видов. Аналогия и помогает находить нестандартные решения. Однако правила применения аналогии в синектике не разработаны.       Основной недостаток мозгового штурма во всех его вариантах заключается в представлении о творческом акте как абсолютно случайном явлении.     Основной недостаток мозгового штурма во всех его вариантах заключается в представлении о творческом акте как абсолютно случайном явлении. Этим представлением объясняется требование обеспечить неограниченную свободу выдвижения идей на стадии их генерирования: авось, и мелькнет что-нибудь полезное. 4. Теория решения изобретательских задач Г. С. Альтшуллера       В основе теории решения изобретательских задач (ТРИЗ) Г. С. Альтшуллера лежит представление о закономерности технического творчества.     В области технического творчества иной подход к организации решения нестандартных задач предложил в конце 40-х годов ХХ века инженер-изобретатель и писатель-фантаст Г. С. Альтшуллер. Чтобы выяснить, почему одни технические системы функционируют и развиваются, а другие умирают на стадии опытного образца или даже раньше, он проанализировал десятки тысяч патентов на изобретения. Этот анализ позволил ему сделать следующий вывод: "Технические системы развиваются по объективно существующим законам, эти законы познаваемы, их можно выявить и использовать для сознательного совершенствования старых и создания новых технических систем"22. В этой цитате мы видим позицию, противоположную той, которую занимают приверженцы мозгового штурма: творчество не случайно, а закономерно. Согласно Альтшуллеру и его последователям, в техническом творчестве действуют три основных закона: 1. Развитие технических систем идет в направлении повышения их идеальности. Техническая система идеальна, если ее нет, а ее функция выполняется. 2. Развитие технических систем происходит через возникновение и преодоление противоречий. 3. Исчерпав возможности своего развития, техническая система или вырождается, или консервируется на определенном уровне, или своим рабочим органом входит в качестве подсистемы в новую систему.     Г.С. Альтшуллер. 1947 г. В ТРИЗ процесс технического творчества предстает как программа по выявлению и преодолению противоречий, т. е. эта теория имеет диалектический характер.     На основе этих законов была разработана теория решения изобретательских задач (ТРИЗ). Процесс технического творчества предстает здесь как четкая программа по выявлению противоречий и работе с ними, т. е. эта теория имеет ярко выраженный диалектический характер. Но диалектика бывает идеалистической и материалистической. Анализ теории решения изобретательских задач говорит об использовании в ней идеалистической диалектики в духе Гегеля. Не случайно именно гегелевскую логику вспомнили М. И. Меерович и Л. И. Шрагина, знакомя читателя с историей возникновения ТРИЗ. 5. Идеалистические недостатки ТРИЗ "Законы развития систем, - пишут разработчики и популяризаторы ТРИЗ Меерович и Шрагина, - объективны и распространяются на все виды систем. Просто при анализе систем, одним из элементов которых является человек, возникает слишком много субъективных факторов, связанных с особенностями его личности. Учет и использование этих факторов - задача различных разделов психологии. Задача же авторов этой книги значительно уже - показать только объективные законы, связанные с созданием, функционированием и развитием систем. Поэтому … анализ нужно вести на материале, на который действие субъективных факторов не распространяется. А если такой фактор вмешивается, да еще с личной и корыстной целью - система неизбежно заходит в тупик"23.       Диалектика ТРИЗ имеет преимущественно идеалистический характер. Это проявляется в том, что развитие техники преподносится как абсолютно объективный процесс идеализации реальных систем.     Эта цитата прекрасно характеризует логическую сторону ТРИЗ: данная теория отвлекается от того, что все без исключения технические системы - плод человеческих рук, и представляет дело так, будто эти системы способны возникать и развиваться абсолютно объективно, без какого бы то ни было участия субъекта, т. е. человека. При таком подходе - хотят ли того разработчики ТРИЗ или не хотят - получается, что для нормального развития технической системы вмешательство в него человека нужно максимально ограничить, а лучше - вообще устранить. Человек искажает логику технического прогресса, мешает строго последовательному движению техники к идеалу. Такой же, в сущности, подход к логике мы видим и у Гегеля. Правда, немецкий философ мыслил более глобально. Согласно его идеалистическим взглядам, человек, будучи частью материального мира, искажает, портит, коверкает любую логику, а не только логику технического прогресса, ибо в чистом, незамутненном виде логика существует лишь вне материи, вне чувственно воспринимаемого мира. "Система логики, - заявлял Гегель, - это царство теней, мир простых сущностей, освобожденных от всякой чувственной конкретности. Изучение этой науки, длительное пребывание и работа в этом царстве теней есть абсолютная культура и дисциплина сознания. Сознание занимается здесь делом, далеким от чувственных созерцаний и целей, от чувств, от мира представлений, имеющих лишь характер мнения. …Главным образом благодаря этому занятию мысль приобретает самостоятельность и независимость. Она привыкает вращаться в абстракциях и двигаться вперед с помощью понятий без чувственных субстратов, становится бессознательной мощью, способностью вбирать в себя все остальное многообразие знаний и наук в разумную форму, схватывать и удерживать их суть, отбрасывать внешнее и таким образом извлекать из них логическое, или, что то же самое, наполнять содержанием всякой истины абстрактную основу логического, ранее приобретенную посредством изучения, и придавать логическому ценность такого всеобщего, которое больше уже не находится как нечто особенное рядом с другим особенным, а возвышается над всем этим и составляет его сущность, то, что абсолютно истинно"24. Именно так - как абсолютная истина - должны возвышаться над суетным бытом изобретателей тризовские алгоритмы решения изобретательских задач и проблемных ситуаций (АРИЗ и АРПС). Правда, это конструирование универсальных логических отмычек сопровождается оговорками об их второстепенном по отношению к изобретательскому творчеству характере ("Алгоритм - инструмент ДЛЯ ОРГАНИЗАЦИИ мышления, а не ВМЕСТО мышления"25) и об их несовершенстве ("АРИЗ постоянно совершенствуется и потому нуждается в притоке новых идей"26), но такие оговорки, делающие бессмысленной деятельность по созданию универсальных интеллектуальных отмычек, - всего лишь фиговый листок, ибо необходимость указанной деятельности сторонники ТРИЗ не подвергают ни малейшему сомнению.     Такой аппарат явно нуждается в доработке! Г.В.Ф. Гегель, крупнейший представитель идеалистической диалектической логики Гегелевская (идеалистическая) диалектика противопоставляет идеальное материальному, навязывает практике готовые логические схемы как абсолютную истину.     Гегелевский взгляд на развитие техники и общества в целом неизбежно порождает жесткое противопоставление идеального материальному, навязывание практике готовых логических схем как абсолютной истины. Лекция 9 МЕТОД ВОСХОЖДЕНИЯ ОТ АБСТРАКТНОГО К КОНКРЕТНОМУ
        Материалистическое восхождение от абстрактного к конкретному Восхождение от абстрактного к конкретному в "Капитале" К. Маркса Восхождение от абстрактного к конкретному в интерпретации В. А. Вазюлина Восхождение от абстрактного к конкретному в интерпретации К. Х. Момджяна 1. Материалистическое восхождение от абстрактного к конкретному       Самый совершенный метод познания мира - материалистическое восхождение от абстрактного к конкретному.     Мы выявили ущербность методов творческого решения проблем, предлагаемых эвристикой. Между тем еще до появления этой науки был разработан метод научного исследования, который и в наши дни является наиболее совершенным инструментом теоретического познания мира, - материалистическое восхождение от абстрактного к конкретному. Это основной метод исследования, применяемый в рамках материалистической диалектики - той самой логики, которая позволяет устранить враждебную противоположность двух полюсов разума - формального и диалектического, противоположность, приведшую к затяжному кризису рационального мышления. Вбирая в себя все лучшее из чистой диалектики и чистой формальной логики, материалистическая диалектика отбрасывает их непримиримые, мешающие освоению мира крайности. Рассматривая форму (жесткую структуру) какого-либо предмета, она не забывает о его содержании (подвижном единстве структурных элементов), из-за чего теоретическое, системное отражение предмета носит открытый характер, т. е. является принципиально незавершаемым, предполагающим развитие.       С точки зрения материалистической диалектики, исследуя социальное бытие, нужно не втискивать его в рамки какой-то логики, а, выявив силой абстракции его элементарную клетку, выяснить, как из этой клетки растет социальный организм.     Применительно к социальным наукам это означает следующее: взявшись за изучение социального бытия, нужно не втискивать его в заранее заготовленные логические рамки, а, выявив силой абстракции его простейшую форму, элементарную клетку, обратиться к ее содержанию и шаг за шагом проследить, как эта клетка в ходе взаимодействия ее элементов разбухает, делится, порождает все новые и новые структуры. Такое движение мысли и называется материалистическим восхождением от абстрактного к конкретному. 2. Восхождение от абстрактного к конкретному в "Капитале" К. Маркса Сначала (у Гегеля) восхождение от абстрактного к конкретному имело идеалистический характер. В материалистической версии, лишающей этот метод идеалистической непоследовательности и мистики, его блестяще применил К. Маркс, рассматривая капиталистическое производство. В своем фундаментальном труде "Капитал" он строго последовательно и детально показал, как из элементарной клетки капитализма (товара) вырастают все его более развитые структуры - деньги, капитал и т. д., вытесняя и преобразуя феодальные формы жизни. Однако диалектика Маркса - настолько тонкий инструмент познания, что применить ее для решения прикладных задач, конкретных социальных и экономических проблем так, как это сделано в "Капитале", не говоря уже о более высоком уровне, до сих пор никто не сумел. 3. Восхождение от абстрактного к конкретному в интерпретации В. А. Вазюлина       С материалистическим восхождением от абстрактного к конкретному в силу его исключительной сложности не справляются даже современные исследователи общества. Пример - В. А. Вазюлин и К. Х. Момджян.     Метод восхождения от абстрактного к конкретному в материалистическом его варианте, разработанном К. Марксом, является самым совершенным способом познания, известным на сегодняшний день, поскольку в нем гармонично сочетаются лучшие черты формально-логического и диалектического способов мышления. Но в силу исключительной сложности этого метода даже современные социальные философы, используя его, теряют верную дорогу и увязают в болоте запутанных идей. Такой участи не избежали, в частности, В. А. Вазюлин и К. Х. Момджян. Решая методом восхождения фундаментальные вопросы, связанные с человеком и его деятельностью, один из них оказался в трясине биологизаторства, другой - социологизаторства. Очевидно, что в их методологических взглядах имеются существенные изъяны. Какие именно? Попробуем разобраться. Начнем с В. А. Вазюлина. В предисловии к своей монографии "Логика истории. Вопросы теории и методологии" он подчеркивает, что научное описание органических систем нужно проводить так, как это сделано в "Капитале". "Конечно, - делает оговорку автор "Логики истории", - метод "Капитала" не догма, не шаблон, не есть нечто застывшее, абсолютно неизменное. Методология познания общественного развития изменяется... по мере того, как общество развивается в качестве системы. И все же определенные основные черты этой методологии сохраняются, пусть в так или иначе снятом виде"27. Итак, философ выступает против слепого следования образцам. Тем не менее в его рассуждениях о ходе исторического развития остро недостает именно того, от чего он предостерегает, - гибкого, творческого подхода к классическому наследию. "Органическое целое, - характеризует Вазюлин свое понимание логики самодвижущихся систем, - в процессе его развития отображается - если говорить в самом общем виде - способом восхождения от абстрактного к конкретному, а также посредством единства логического и исторического рассмотрения. Причем, на наш взгляд, "механизм" восхождения от абстрактного к конкретному состоит из следующих (перечисленных в порядке последовательности их выдвижения на первый план в процессе восхождения) основных блоков: категорий поверхности, сущности, явления и действительности"28. При этом философ ссылается на свое исследование логики "Капитала"29.     В.А. Вазюлин. Дружеский шарж Беда всей марксистской философии в том, что за более чем столетие своего развития она в полной мере так и не осознала необходимость продолжить системное исследование буржуазного общества дальше пункта, на котором остановился К. Маркс.     Если вести речь о трех томах этого классического произведения, то их логическая схема действительно исчерпывается перечисленными выше этапами восхождения. Но беда всей марксистской философии (не только и не столько Вазюлина!) в том, что за более чем столетие своего развития она в полной мере так и не осознала необходимость продолжить системное исследование буржуазного общества дальше пункта, на котором по не зависящим от него причинам остановился Карл Маркс. Напротив, широкое распространение получило противоположное мнение. Его сторонники утверждают, что логическая критика капиталистического строя в общем завершена и осталось от теории перейти к практике - к переустройству мира на социалистических началах. В "Логике истории" эта точка зрения выражена очень ярко, отчетливо: "Современная эпоха - эпоха переломная в истории человечества, главное ее содержание заключается в переходе от капитализма к социализму в мировом масштабе"30. В нынешней обстановке, на фоне развалин так называемого "социалистического лагеря", отрыв вазюлинских взглядов от реальности бросается в глаза, а его бодрая фраза о назревшем переходе к обществу, живущему по принципу "От каждого - по способности, каждому - по труду", вызывает по меньшей мере недоумение. Рассуждая о методе восхождения в связи с логикой "Капитала", не следует забывать, что К. Маркс, разрабатывая теорию капиталистического способа производства, результаты своего исследования собирался опубликовать в шести книгах. Однако ему не удалось осуществить и половину грандиозного плана. Логический анализ "Капитала" показывает, что в трех его томах представлены лишь бытие и сущность буржуазного общества. Зато представлены они в законченном виде: полностью, детально и строго. Это обеспечивает относительную завершенность главному произведению основоположника диалектического материализма, но, с точки зрения восхождения от абстрактного к конкретному в ходе теоретического осмысления капитализма, материал, опубликованный Марксом и Энгельсом, является не более чем фрагментом того обширного политэкономического труда, в котором была бы построена полная модель буржуазной формации. Обманчивая законченность величественной картины, созданной автором "Капитала", дезориентировала многих его исследователей, в том числе и Вазюлина, который часть восхождения ошибочно выдает за целое. В самом деле, он выделяет следующие ступени развития органической системы: 1) необходимые предпосылки (начало) изучаемого объекта, когда в качестве организма его еще нет; 2) возникновение объекта как нового организма в лоне старого; 3) формирование организма (преобразование унаследованной основы); 4) зрелость (завершение преобразования организмом старой основы, когда "явственно обнаруживаются противоречия, ведущие к его преобразованию в иной предмет"). Универсальность этой схемы вызывает серьезнейшие сомнения. Вы только вдумайтесь: организм едва сформировался - и, согласно Вазюлину, ему пора умирать, переходить "в иной предмет". Если в качестве примера взять развитие человека, то вряд ли какая-нибудь мать согласится с такой вот периодизацией жизненного пути ее ребенка: 1) начало (зачатие) ребенка; 2) возникновение зародыша в лоне матери; 3) формирование детского организма путем преобразования материнского лона; 4) зрелость, т. е., согласно автору "Логики истории", завершение преобразования унаследованной основы и выход в самостоятельное существование, означающее умирание. Ясно, что Вазюлин предлагает считать универсальной схему развития очень примитивных организмов, жизненный путь которых действительно укладывается в четыре этапа. Человек не вписывается в нее: во-первых, его рождение отнюдь не равнозначно умиранию, а во-вторых, родившийся ребенок, конечно же, не обладает зрелым организмом. Тем более не вписывается в предложенную схему такая сложнейшая органическая система, как буржуазное общество, "биографическими данными" которого философ-диалектик пытается аргументировать свои методологические рассуждения. Единственное отличие капитализма от ребенка (разумеется, в интересующем нас аспекте) - отсутствие, как правило, свободного пространства, куда сформировавшийся буржуазный организм может выскочить из феодального лона. "Следовательно, - подытожим анализ методологических взглядов В. А. Вазюлина собственными его словами, - были порваны связи с той почвой, на которой и из которой развивается представление о реальном органическом целом"31. 4. Восхождение от абстрактного к конкретному в интерпретации К.Х. Момджяна       Если В. А. Вазюлин считает своим научным долгом тщательнейшим образом копировать способ исследования, примененный в "Капитале", - настолько тщательно, что это вредит делу, - то К. Х. Момджян, напротив, чрезвычайно вольно, излишне раскованно использует этот способ.     Если В. А. Вазюлин считает своим научным долгом тщательнейшим образом копировать способ исследования, примененный в "Капитале", - настолько тщательно, что это вредит делу, - то в противоположность ему К. Х. Момджян, не чувствуя себя связанным какими бы то ни было образцами, чрезвычайно вольно, излишне раскованно подходит к методологическим вопросам. Как и автор "Логики истории", всем способам изложения теории Момджян предпочитает метод восхождения от абстрактного к конкретному. Доказывая универсальность и эффективность данного метода, философ-социолог посвятил ему целую главу своей монографии "Категории исторического материализма: системность, развитие". Однако принципы восхождения истолкованы весьма своеобразно. Во-первых, выступая за строгую последовательность при рассмотрении категорий социальной философии, автор в то же время скептически оценивает попытки "выстроить их в шеренгу", утверждая, что "последовательное применение метода восхождения предполагает... непременное выведение всех законов и категорий науки из одного, субстанционального определения ее объекта, но отнюдь не непременное выведение каждого понятия из каждого, "соседствующего" с ним"32. Стоит ли объяснять, какой простор для волюнтаристов от науки открывается благодаря этой невинной, на первый взгляд, оговорке философа! Ниже мы увидим, что прежде всего он позаботился о себе. Во-вторых, Момджян рекомендует рассекать теоретическое описание социального процесса на обособленные аспекты - структурный, функциональный и динамический, чтобы, "выстроив их в шеренгу", рассматривать всякий предмет в три приема. Почему же нужно начинать со структуры, переходить к функции и заканчивать динамическими характеристиками исследуемого предмета? Потому что так удобно для теоретика. Ведь, с точки зрения автора "Категорий исторического материализма", речь в этом случае идет всего лишь "об отношениях логической последовательности между взаимополагающими определениями"33. Поскольку структура, функция и динамика, по мнению Момджяна, всегда полагают друг друга, расставлять их по порядку можно лишь мысленно, по воле познающего субъекта. Такая упорядоченность оказывается внутренне несвойственной предмету, внешней для него, и, значит, по отношению к объективной реальности знание превращается в кривое зеркало. Чтобы представить ситуацию наглядней, возьмем не просто зеркало, а трельяж, в одной из створок которого виден почему-то только структурный аспект реальности, в другой - функциональный, а в третьей - динамический. При этом единого образа мира нет и не может быть: теория искусственно расчленяет материю на три несвойственные ей части, умертвляя ее. В-третьих, длинные, снабженные множеством цитат рассуждения о соотношении исторического и логического в социальной философии приводят автора "Категорий исторического материализма" к выводу, что между определениями социального процесса "не существует и не может существовать хронологически измеряемой абсолютной первичности"34. Поэтому "вопрос о том, должно ли последовательное изложение теории начинаться с фиксации простейших определений "готового" общества или с рассмотрения процессов социогенеза", он без колебаний решает в пользу первого варианта, а второй характеризует как "известное отступление от... метода восхождения от абстрактного к конкретному"35. Удивительно, но факт: эти заявления, которые без всяких преувеличений кастрируют категории социальной философии, лишая их исторической силы, философ делает сразу после того, как одобрил мнение классиков марксизма о том, что логический метод восхождения является "тем же историческим методом, только освобожденным от исторической формы и от мешающих случайностей", что это "отражение исторического процесса в абстрактной и теоретически последовательной форме"36. Лекция 10 РОЛЬ ЛОГИКИ В РАЗВИТИИ ТВОРЧЕСТВА
          Логика творчества Подгонка предмета исследования под готовую логику Относительный характер нарушения логики в процессе творчества Воспитание творческой личности 1. Логика творчества     К.Х. Момджян Логикой творчества является выход за рамки существующей логики.     Мы поставили перед собой задачу выяснить, есть ли у творчества какие-либо законы, другими словами, есть ли у него логика. Какой же ответ следует дать на этот вопрос? Ответ не может быть простым, и вот почему: логикой творчества является выход за рамки логики, т. е. нарушение ее законов. Изучая особенности художественного творчества, мы установили, что оно подчиняется закону катарсиса: образы произведения должны вызывать борьбу противоположных эмоций, а затем - синтез этих противоположностей. Следовательно, структура такого произведения имеет диалектический характер. Значит ли это, что художник обязан подчинять свою деятельность диалектической логике, т. е. подгонять форму создаваемого им творения под диалектическую триаду тезис - антитезис - синтез? Нет, не значит. Более того, если художник займется такой подгонкой, он потеряет черты творческой личности. Художник должен всего лишь раскрыть взятую им тему. Однако, раскрывая эту тему, он обязательно получает диалектическую форму, но в совершенно неожиданном для себя виде - даже тогда, когда он завзятый диалектик. Сходная ситуация наблюдается и в области науки, в частности в сфере научного исследования художественных произведений. Ученый обязан искать истину. В этом ему помогает метод исследования, а всякий метод строится по законам логики. Но, чтобы сделать научное открытие, не следует подгонять изучаемый предмет под ту или иную логику, втискивать его в какие-то заранее определенные логические рамки - нужно выйти за эти рамки. 2. Подгонка предмета исследования под готовую логику       Навязывание предмету готовой логики и творческое отношение к нему несовместимы.     Навязывание предмету готовой логики и творческое отношение к нему несовместимы. К сожалению, многие не понимают этого. Однажды на семинаре по логике творчества студенты письменно выполняли предложенную преподавателем творческую работу - проводили анализ анекдотов как художественных текстов. Один из анекдотов был таким: "Студенту нельзя жениться. Будет заниматься женой - приобретет "хвосты". Будет налегать на учебу - вырастут рога. А попробует совместить и то, и другое - отбросит копыта". И вот какой убогий, но весьма примечательный в своей убогости анализ этого остроумного анекдота был сделан студентом: "В данном случае противоположности содержатся во втором и третьем предложениях, а в четвертом предложении содержится синтез". Процитированный анализ - яркий пример откровенной подгонки материала под готовую логику исследования. Из лекций студент знал о диалектическом характере художественного текста и свою работу построил так, чтобы, во-первых, не напрягать мозги и, во-вторых, угодить преподавателю: он просто-напросто показал, что знаком с диалектической логикой и с тем, что начало художественного текста содержит противоположности, а конец - их синтез.       Творческая деятельность не допускает легкомысленного отношения к материалу, который она использует.     Нетворческий подход к делу сделал анализ анекдота чрезвычайно тощим и совершенно голословным. Маленькое научное открытие, которого ждал от этой работы преподаватель, не состоялось. Более того: оно и не могло состояться, ибо творческая деятельность не допускает легкомысленного отношения к материалу.             Можно привести еще один, более масштабный пример подгонки предмета научного исследования под заранее заготовленную логическую схему. В Советском Союзе непреложной истиной считалось, что 1917 год положил начало переходу человечества от капитализма к социализму. Последний, согласно К. Марксу, есть первая стадия коммунизма и в силу этого обязан превосходить капитализм во всех сферах социальной жизни, причем прежде всего - в сфере материального производства. Однако на практике, несмотря на многолетние усилия, никак не удавалось прийти к тому, чтобы социалистический строй показал свое всестороннее превосходство над капиталистическим. Перед советским обществоведением встала задача объяснить, почему буксует "реальный социализм", почему практика не демонстрирует того, о чем говорит теория. Творческое решение данной проблемы предполагало пересмотр устаревшей логической схемы, в соответствии с которой человечество уже созрело для перехода к социализму. Но отказ от этой схемы означал выход за рамки идеологии правящей в Советском Союзе коммунистической партии. И, чтобы не идти на конфликт с партией, советские теоретики-обществоведы долгие годы, вплоть до полного краха "реального социализма", усердно занимались его подгонкой под научный социализм К. Маркса. Нетворческий подход к теоретической деятельности закрыл для них возможность увидеть под вывеской "социализм" государственный капитализм. 3. Относительный характер нарушения логики в процессе творчества     Советский теоретик-обществовед сочиняет идеологические сказки Материалистический метод восхождения от абстрактного к конкретному приводит к новому знанию о предмете только в том случае, если ученый строит свое исследование с учетом конкретных особенностей этого предмета.     Вспомним материалистический метод восхождения от абстрактного к конкретному. Он нацеливает ученого на научное открытие, на творческое отношение к теоретической деятельности. Однако этот метод приводит к новому знанию о предмете только в том случае, если ученый строит свое исследование не по абстрактному шаблону, не по готовой схеме из учебника логики, а с учетом конкретных особенностей данного предмета. Восхождение от абстрактного к конкретному для каждого предмета должно проводиться по-своему.             Выход за рамки логики, который происходит в творческой деятельности, не следует понимать в том смысле, что творец вообще расстается с логикой, попадая при этом туда, где нет ничего логичного. Абсолютное отсутствие логики - такая же нелепость, как и ее абсолютное присутствие, где бы то ни было. В обществе процесс творчества имеет следующий характер: опираясь на какую-то логику при исследовании того или иного предмета, творец обнаруживает недостатки этой логики и, устраняя их, открывает в предмете что-то новое, а именно то, что не позволяла увидеть старая логика. Значит, творческий акт не устраняет логику вообще как нечто совершенно ненужное творчеству, а, напротив, совершенствует, развивает ее, улучшая при этом и само творчество. 4. Воспитание творческой личности Современная общественная жизнь все более остро ставит вопрос о воспитании творческой личности. Но возможно ли такое воспитание? Человек становится творческой личностью только тогда, когда самостоятельно ищет решение общественных проблем. Воспитатель может лишь помочь в этом, а чтобы помочь, он сам должен быть творческой личностью, активно участвовать в общественной жизни, способствуя ее развитию. Получается замкнутый круг: обществу нужны творческие личности, но, чтобы их воспитывать, нужны творческие личности.       Главное, что нужно сейчас делать для воспитания творческих личностей, - это создавать материальные условия для активного участия масс в решении общественных проблем.     Разорвать этот порочный круг пытаются неустанными призывами творчески относиться к делу, рекламой творцов и осуждением общественной пассивности. Но все это давно вызывает лишь аллергию, так как следует начинать не с духовной, а с материальной сферы. Главное, что нужно сейчас делать для воспитания творческих личностей, - это создавать материальные условия для активного участия масс в решении общественных проблем. Много ли сделано в этом направлении? Оглянитесь вокруг - и вы увидите, что сделано очень мало. К сожалению, в современном обществе есть влиятельные силы, которые не только не заинтересованы в придании творчеству массового характера, но и активно препятствуют этому. В научной сфере противникам развития массового творчества вольно или невольно подыгрывают представители эвристики. Создавая модели творческого акта, разрабатывая технологии творчества, алгоритмы решения проблемных ситуаций, они порождают в обществе иллюзию, будто воспитывать современного человека как творческую личность вовсе не обязательно, ибо творить могут даже машины, если в них вложена программа творчества.     Робот не будет мыслителем, какую бы позу он ни принял Торжество массового творчества - это объективная тенденция развития человечества.     Все же не стоит впадать в уныние. Торжество массового творчества - это объективная тенденция развития человечества. Значит, история на стороне тех, кто стремится жить творчески, кто хочет самостоятельно решать свои жизненные проблемы, не дожидаясь, когда это сделает какой-нибудь "великий учитель" или какая-нибудь "умная" машина.      

          1. Меерович М. И., Шрагина Л. И. Технология творческого мышления. Мн., М., 2000. С. 12 - 13.
          2. Григорьян Б. Т. На путях философского познания человека. // Проблема человека в современной философии. Под ред. И. Ф. Балакиной и др. М., 1969. С. 26.
          3. Там же.
          4. Выготский Л. С. Психология искусства. М., 1987. С. 12.
          5. Там же. С. 31.
          6. Там же. С. 32.
          7. Там же. С. 55 - 56.
          8. Гудзенко С. П. Стихотворения. М., 1985. С. 110.
          9. Толстой Л. Н. Что такое искусство? //Полн. собр. соч.: В 90 т. М., 1951. Т. 30. С. 64 - 65.
          10. Выготский Л. С. Психология искусства. М., 1987. С. 231.
          11. Там же. С. 232 - 233.
          12. Аристотель. Сочинения: В 4-х т. Т. 4. М., 1984. С. 651.
          13. Там же. С. 640.
          14. Там же. С. 641 - 642.
          15. Там же. С. 642 - 643.
          16. Выготский Л. С. Психология искусства. М., 1987. С. 233.
          17. Там же. С. 206.
          18. Там же. С. 239.
          19. Там же. С. 238.
          20. Там же. С. 243.
          21. Там же.
          22. Меерович М. И., Шрагина Л. И. Технология творческого мышления. Мн., М., 2000. С. 43.
          23. Там же. С. 249.
          24. Гегель Г. В. Ф. Наука логики. В 3 т. Т. 1. - М., 1970. С. 113.
          25. Меерович М. И., Шрагина Л. И. Технология творческого мышления. Мн., М., 2000. С. 396.
          26. Там же. С. 420.
          27. Вазюлин В. А. Логика истории. Вопросы теории и методологии. М., 1988. С. 8 - 9.
          28. Там же. С. 13.
          29. Вазюлин В. А. Логика "Капитала" К. Маркса. М., 1968.
          30. Вазюлин В. А. Логика истории. Вопросы теории и методологии. М., 1988. С. 3.
          31. Там же. С. 12.
          32. Момджян К. Х. Категории исторического материализма: системность, развитие. (Начальные этапы восхождения от абстрактного к конкретному). М., 1986. С. 19.
          33. Там же. С. 22.
          34. Там же. С. 31.
          35. Там же. С. 30 - 31.
          36. Маркс К., Энгельс Ф. Сочинения. Изд. 2-е. Т. 13. С. 497.




double arrow
Сейчас читают про: