Механическими передачами, или передачами, называют механизмы, передающие энергию от двигателя к рабочим органам машины с преобразованием скоростей, сил или моментов, а иногда и характера движения.
Общие сведения о передачах
Лекция 37. ПЕРЕДАЧИ
Цепная передача
Ремённая передача
σ 1, σ 2 — напряжения в сечениях ремня при передаче нагрузки, МПа;
α 1, σ 2 — угол обхвата ремнем шкивов,
[к] — допускаемое полезное напряжение, МПа;
к0 — приведенное полезное напряжение, МПа;
к — полезное напряжение, МПа;
φ — коэффициент тяги;
С0; Са; Cv; Ср — расчетные коэффициенты;
ε — коэффициент скольжения в передаче.
t — шаг цепи, мм;
ра — среднее давление в шарнире, Н/мм2, МПа;
[рц] — допускаемое среднее давление в шарнире, МПа;
Кэ — коэффициент эксплуатации.
Ведущие детали передач обозначают нечетными номерами, ведомые — четными. Другие необходимые обозначения величин приводятся в тексте.,
При изучении материала раздела I следует обращать внимание на приведенные требования к минимуму содержания и уровню подготовки студентов технических специальностей. Знания основных вопросов курса проверяются в тестовых заданиях.
Рекомендуется использовать справочные данные, помещенные в Приложении. Раздел I.
Раздел «Детали машин»
Знать кинематические и силовые соотношения в передаточных механизмах, формулы для расчета передаточного отношения, КПД, вращающего момента для всех ступеней многоступенчатого привода.
Уметь выбрать тип механической передачи для преобразования одного вида движения в другой, оценить выбранную передачу, произвести кинематический и силовой расчеты многоступенчатой передачи.
Основные причины применения передач в машинах:
· требуемые скорости рабочих органов машины часто не совпадают со скоростями стандартных двигателей;
· скорости рабочего органа машины часто необходимо регулировать (изменять) в процессе работы;
· большинство рабочих органов машин должны работать при малых скоростях и обеспечивать большие вращающие моменты, а высокооборотные двигатели экономичнее;
· двигатели изготовляют для равномерного вращательного движения, а в машинах иногда требуется прерывистое поступательное движение с изменяющимися скоростями.
· по принципу передачи движения: передачи трением и передачи зацеплением; внутри каждой группы существуют передачи непосредственным контактом и передачи гибкой связью;
· по взаимному расположению валов: передачи с параллельными валами (цилиндрические), передачи с пересекающимися осями валов (конические), передачи со скрещивающими валами (червячные, цилиндрические с винтовым зубом, гипоидные);
· по характеру передаточного числа: с постоянным передаточным числом и с бесступенчатым изменением передаточного числа (вариаторы).
Фрикционные передачи (передачи трением) — передачи, в которых передача движения осуществляется силами трения. Для создания трения в контакте катков применяют пружины и специальные нажимные и натяжные устройства. На рис. 1.1 а, б изображены фрикционные передачи непосредственным контактом, на рис. 1.1, в вариатор — фрикционная передача с бесступенчатым регулированием скорости за счет смещения ролика 1, на рис. 1.1, з передача гибкой связью — ременная.
Передачи зацеплением «работают» за счет зацепления зубьев и шарниров цепи с зубьями звездочки. Трение в данном случае вредно, и большинство передач работает со смазкой. Основное достоинство передач зацеплением — высокий КПД, компактность и надежность.
На рис. 1.1, г, д изображены цилиндрическая и коническая зубчатые передачи, на рис. 1.1, е — червячная (зубчато-винтовая передача), на рис. 1.1, ж — цепная передача.
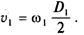
Кинематические соотношения в передаче можно рассмотреть по схеме цилиндрической фрикционной передачи (см. рис. 1.1, а).

Окружная скорость ведущего шкива

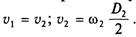
При отсутствии проскальзывания скорость ведущего и ведомого шкивов должна быть одинаковой:

Тогда

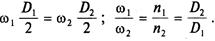
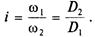
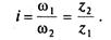
Отношение угловой скорости ведущего колеса к угловой скорости ведомого или частоты вращения ведущего колеса к частоте вращения ведомого называется передаточным отношением:

Для передач зацеплением можно использовать следующее выражение (поскольку диаметр колеса пропорционален его числу зубьев):

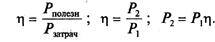
Связь между мощностями на ведущем и ведомом звеньях можно получить из известных формул механики:

Известно, что Р = Тω, где Т — вращающий момент; ω — угловая скорость.
Тогда

В зависимости от величины передаточного отношения i передачи делятся на передачи с постоянным передаточным отношением (I /> 1; ω1 > ω2 — редукторы, понижающие передачи; I < 1; ω1 < ω2 — мультипликаторы, повышающие передачи) и передачи с бесступенчатым регулированием скорости.
Параллельно с понятием передаточного отношения i используется понятие передаточного числа и\ для редукторов i = и.
В передачах с бесступенчатым регулированием скорости (вариаторы) передаточное отношение i — величина переменная, и их характеристикой является диапазон регулирования

Если в механизме необходимо значительное изменение скорости, применяют многоступенчатые передачи.
Ступенью считают передачу одной парой колес, одним ремнем или одной цепью.
На рис. 1.2 изображены многоступенчатые (двухступенчатые) передачи. Нумерация ступеней и колес начинается от двигателя.
Для многоступенчатой передачи общее передаточное число

где u1, и2, иn — передаточные числа ступеней.
Общий КПД передачи

где η1, η2 и т.д. — КПД ступеней.
Например, для привода, изображенного на рис. 1.2, а, общий КПД

где η р — КПД ременной передачи; η ц — КПД цилиндрической зубчатой передачи; η подш — КПД подшипников.
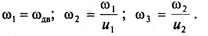
Для передачи, изображенной на рис. 1.3, можно записать

Скорости валов:

Мощности на валах: Р2 = Р1η 1; Р3 = Р2η2. Вращающие моменты на валах:
Т2 = T1u1, Т3 = Т2и2η2.