Классификация зубчатых передач
Зубчатые передачи применяют при любом расположении осей колес. При параллельном расположении осей колес используют цилиндрическую передачу, при пересекающихся осях — коническую передачу, при скрещивающихся осях валов — винтовые, гипоидные, спироидные (рис. 3.1).
Зубчатые передачи выполняют в основном закрытыми — работающими в корпусе и со смазкой.
Открытые передачи, работающие на воздухе без смазки, обычно отличаются крупными размерами. Для них характерно ускоренное изнашивание.
![]() |
В зависимости от расположения зубьев на колесе различают прямозубые, косозубые, шевронные колеса и колеса с круговыми зубьями.
Винтовые передачи (зубчатые цилиндрические передачи с винтовым зубом) из-за повышенного скольжения и низкой нагрузочной способности применяют ограниченно (рис. 3.1, e).
Для преобразования вращательного движения в поступательное применяют передачу шестерня — рейка (рис. 3.1, г).
В зависимости от формы профиля зубьев передачи делятся на передачи с эвольвентными зубьями и зубьями очерченными дугами окружности (передача Новикова).
|
|
|
В зависимости от взаимного положения колес различают передачу с внешним (рис. 3.1, а) и с внутренним (рис. 3.1, д) зацеплением.
Поверхности взаимодействующих зубьев должны обеспечить постоянство передаточного числа. Профили зубьев должны подчиняться определенным требованиям, вытекающим из основной теоремы зацепления: общая нормаль, проведенная через точку касания профилей, делит расстояние между центрами О1 O2 на части, обратно пропорциональные угловым скоростям (рис. 3.2).
Практическое применение получило эвольвентное зацепление благодаря технологичности и достаточно высокой несущей способности. Рабочими профилями зубьев колес служит эвольвента. Каждое эвольвентное колесо нарезано так, что может сцепляться с соответствующими колесами, имеющими любое число зубьев.
Все геометрические параметры зубчатых передач стандартизированы.
С кинематической точки зрения зацепление зубчатых колес эквивалентно качению без скольжения двух окружностей с диаметрами O2П и О1П.
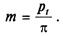
В качестве основного параметра зубчатых колес принят модуль.
Модуль — расчетная величина, равная отношению окружного шага зубьев рt по делительной окружности к числу п:

Шаг зацепления — расстояние между двумя одноименными профилями соседних зубьев по делительной окружности. Шаги сцепляющих зубьев должны быть равны.
Делительная окружность делит зуб на две части: головку и ножку.
Геометрия цилиндрических колес определяется несколькими концентрическими окружностями.
|
|
|
Начальные окружности — это сопряженные окружности двух сцепляющихся колес. Их радиусы равны О1П и П02. Начальные окружности относятся только к зацеплению пары колес. При изменении межосевого расстояния О1О2 диаметры начальных окружностей также меняются.
Делительная окружность принадлежит каждому отдельно взятому колесу. Делительная окружность является начальной при зубонарезании, при зацеплении колеса с производящей рейкой. У большинства зубчатых передач делительные окружности совпадают с начальными:

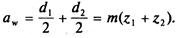
Основные параметры зубчатого колеса могут быть выражены через модуль т.
Диаметр делительной окружности d = mz, где z — число зубьев.
Диаметр окружности выступов da = d + 2ha = m(z + 2 ).
Диаметр окружности впадин df = d – 2hf = m(z – 2,5).
Высота головки зуба ha = т.
Высота ножки зуба hf = 1,25т.
Для обеспечения взаимозаменяемости модули зубьев цилиндрических колес стандартизированы (см. табл. П1 Приложения).
При передаче движения зубья колес сцепляются на линии А1А2 (линия зацепления). Линия зацепления образует с касательной, проведенной в точке касания //(полюс зацепления), угол зацепления α; для цилиндрических колес α = 20°.
Линия А1А2 — общая нормаль к поверхностям зубьев в точке касания. Практически зацепление происходит между точками пересечения линии зацепления с окружностями вершин колес S1S2.
Основным геометрическим параметром цилиндрической передачи является межосевое расстояние

Межосевые расстояния и передаточные числа цилиндрических зубчатых колес стандартизованы (см. табл. П4, П5 Приложения).
Непрерывность работы передачи обеспечена, если последующая пара зубьев входит в зацепление до выхода предыдущей (перекрытие). Коэффициент торцового перекрытия ε а — отношение длины активной линии зацепления к основному шагу, ε а > 1.
