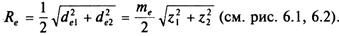
Длину отрезка делительного конуса от вершины до основания называют внешним конусным расстоянием Rе.
Ширина зубчатого венца b определяется расстоянием между внешним и внутренним торцами по образующей делительного конуса, 
Размеры конических зубчатых колес определяют по внешнему торцовому сечению с диаметрами de1 и de2.
Основной геометрический параметр конического колеса — внешний окружной модуль

Расчеты конических колес на прочность производят по среднему делительному диаметру dm = d
Средний модуль зуба

Средние делительные диаметры

Внешний окружной модуль можно не округлять до стандартного значения.
Зубья конических колес в зависимости от изменения сечения по длине делятся на три формы (рис. 6.3).
Форма I применяется в основном для колес с прямыми зубьями.
Форма II обеспечивает оптимальную прочность на изгиб, технологична, используется для колес с круговыми зубьями.
Форма III применяется для плоских колес в специальных случаях.
Конические колеса выпускают с прямыми, косыми и круговыми зубьями (рис. 6.4). Конические колеса с круговыми зубьями по сравнению с прямозубыми обладают большей несущей способностью, работают с меньшим шумом. Зубья нарезают резцовыми головками методом обкатки. Угол наклона зуба в среднем сечении 35°, сопряженные колеса имеют противоположное направление линии зубьев. Шестерни выполняют с правым зубом, колеса — с левым.