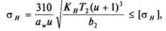
Расчет по контактной прочности сводится к проверке условия
σH ≤ [σH].
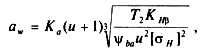
Размеры зубчатой передачи определяют из расчета (проектировочный расчет) по контактным напряжениям (рис. 4.2). За основу принимают формулу Герца для контакта цилиндрических поверхностей. После соответствующих преобразований и введения различных коэффициентов, учитывающих особенности геометрии зуба и характер действующей нагрузки, получают формулу для определения основного геометрического параметра зубчатой цилиндрической передачи — межосевого расстояния, мм:


где Т2 — вращающий момент на ведомом валу, Н • мм; и — передаточное число; К„ = 49,5 МПа|/3 — для прямозубых колес;
Исследования показали, что предел контактной выносливости σHIimb и базовое число циклов нагружений Nm в основном зависят от твердости рабочей поверхности зубьев; коэффициент KHL учитывает возможность повышения допускаемого напряжения при кратковременной нагрузке; σHIimb определяется для выбранного материала из таблицы; NΣ — расчетное число циклов нагружений зубьев N Σ = 60nLh; Lh — полный ресурс, ч. За расчетное число циклов нагружений принимается меньшее из допускаемых значений для шестерни и колеса.
|
|
|
Определяют все геометрические параметры передачи. Полученную передачу проверяют на прочность по формуле

где Кн= КщКНи — коэффициент нагрузки; b2 = ψbaaw.