Поломка зубьев связана с напряжением изгиба. Чаще наблюдается выламывание углов зубьев вследствие перегрузок и усталости материала от длительно действующих переменных нагрузок.
Расчет на изгиб сводится к проверке условия aF< [of].
При расчете на изгиб полагают, что в зацеплении находится одна пара зубьев. Зуб рассматривают как консольную балку с силой Fn, приложенной к его вершине (рис. 4.3). Под действием силы зуб сжимается и изгибается.
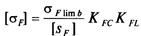
При расчете учитывают суммарное напряжение на растянутой стороне. При выводе формулы используют коэффициенты, учитывающие особенность формы зуба и характер действующей нагрузки. Окончательная формула для проверочного расчета на изгиб следующая:

где YF2 — коэффициент формы зуба, зависящий от числа зубьев (табл. П2 Приложения);
Ft — окружная сила;
[σf] — допускаемое напряжение изгиба,
, где
σFiimb — предел выносливости зубьев при изгибе;


KFC — коэффициент, учитывающий двустороннее приложение нагрузки.
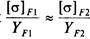
Зуб шестерни у основания тоньше, чем у колеса, поэтому для обеспечения одинаковой прочности шестерню выполняют из более прочного материала, чем колесо. Для обеспечения равной изгибочной прочности зубьев шестерни и колеса желательно, чтобы


Расчет ведут для того колеса, для которого меньше.
Рекомендации по выбору пределов выносливости рабочих поверхностей зубьев, МПа:
