Оценка червячных передач
К достоинствам червячных передач необходимо отнести
- большое передаточное число,
- компактность,
- небольшую массу,
- плавность и бесшумность работы,
- возможность получения самоторможения.
Самоторможение — возможность передачи движения только от червяка к колесу; можно использовать механизм без тормозных устройств, препятствующих обратному движению колеса.
Рассматривается передача без смещения (рис. 8.2). Основным расчетным параметром червяка является осевой модуль т = Р /π, где р — осевой шаг червяка.
Делительный диаметр червяка d1 = qm, где q — коэффициент диаметра червяка. Значения т и q стандартизированы (см. табл. ПЗ Приложения).
Число заходов червяка z1 = 1; 2; 4.
Делительный угол подъема витка червяка γ, tgγ = z1/q (рис. 8.3). Некоторые значения угла подъема витка червяка приведены в Приложении.
Осевой модуль червяка равен торцовому модулю червячного колеса.
Диаметр делительной окружности колеса d2 = mz2.
Диаметр вершин зубьев в среднем сечении da2 = d2 + 2т.
|
|
|
Диаметр впадин червячных колес в среднем сечении df2 = d2 - 2,4т.
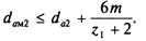
Наибольший диаметр червячного колеса

Зубья колес имеют вогнутую форму и охватывают червяк по дуге с углом 2 δ.
Ширина венца b.
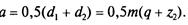
Межосевое расстояние передачи

Число зубьев червячного колеса z2.