С устройствами регулирования под нагрузкой

Регулирование напряжения с помощью трансформаторов

Сущность регулирования напряжения с помощью трансформаторов заключается в том, что при необходимости изменения напряжения на вторичной стороне трансформатора изменяют его коэффициент трансформации. С этой целью, как уже отмечалось, на всех трансформаторах выполняют специальные ответвления, каждое из которых соответствует определенному числу витков обмотки и, следовательно, определенному коэффициенту трансформации. Действительно, напряжение на шинах НН двухобмоточного понижающего трансформатора можно представить так:


где U н' - напряжение на шинах НН, приведенное к шинам высшего напряжения; U ННноминальное напряжение обмотки НН; U ВНноминальное напряжение среднего ответвления обмотки ВН; Δ k т – ступень (шаг) регулирования напряжения на обмотке ВН, %; n – количество включенных ответвлений относительно среднего ответвления.

Таким образом, каждому ответвлению трансформатора соответствует свое номинальное напряжение обмотки. Переводя переключатель ответвлений из одного положения в другое, т. е. изменяя n, можно изменять номинальное напряжение обмотки ВН, что неизбежно приведет к регулированию напряжения U н на шинах НН. Очевидно, что при увеличении номинального напряжения обмотки ВН (в скобках – знак плюс) напряжение U н будет снижаться, а при уменьшении коэффициента трансформации (в скобках – знак минус) – увеличиваться.

Принципиальные схемы одной фазы обмоток двухобмоточного транформатора с устройством РПН приведены на рис. 17.1. Здесь ОО – основная часть обмотки; РО – регулировочная часть обмотки, подключенная со стороны нейтрали трансформатора; К – контакторы; Р – токоограничивающий реактор; R – токоограничивающие активные сопротивления; 1–9 – ответвления регулировочной части обмотки. Нейтраль трансформатора О соединена со средним ответвлением. При установке переключателя в положение 5 в работе находится только основная часть обмотки ОО. Если переключатель находится в одном из положений 1–4, то к основной части обмотки ОО добавляется соответствующее число витков согласно включенной регулировочной части обмотки РО, в результате чего коэффициент трансформации увеличивается. В случае подключения переключателя к одному из ответвлений 6–9 к основной части обмотки ОО присоединяется некоторое количество встречно включенных витков, вследствие чего коэффициент трансформации уменьшается.


В схеме с токоограничивающим реактором (рис. 17.1, а) при нахождении переключателя в каком-то положении (например, на ответвлении 3) ток нормального режима проходит по цепи: вывод ВН, обмотка ОО, плечи реактора Р, контакторы К 1 и К 2, обмотка РО между ответвлениями 3 и 5, нейтраль трансформатора. Если, например, переключатель надо перевести из ответвления 3 в ответвление 2, это производится в следующей последовательности: размыкается контактор К 1, переводится контакт переключателя в положение 2, замыкается контактор К 1 (рис. 17.1, в), размыкается контактор К 2, переводится нижний контакт переключателя в положение 2, замыкается контактор К 2. В результате ни в один из моментов времени цепь, по которой проходит ток нагрузки трансформатора, не разрывается. Обратим внимание на то, что в какой-то момент времени верхний контакт находится в положении 2, а нижний – в положении 3 (рис. 17.1, в). При этом между точками 2 и 3 приложено напряжение, равное величине ступени регулирования трансформатора. Так, если среднее ответвление 5 соответствует линейному номинальному напряжению 115 кВ, а ступень регулирования равна 1,78 %, то напряжение между точками 2 и 3 будет равно


Из-за того, что сопротивление обмотки между точками 2 и 3 мало, это напряжение может вызвать в образовавшемся контуре (рис.17.1, в) недопустимый ток. Поэтому для его ограничения в схему переключателя ответвлений вводят токоограничивающий реактор Р.

В другой схеме роль ограничителя тока при нахождении переключателя в промежуточном положении выполняют токоограничивающие активные сопротивления R 1 и R 2 (рис. 17.1, б). При нахождении верхнего и нижнего контактов переключателя в положении 3 контакторы К 3 и К 4 включены, а К 1 и К 2 отключены. Сопротивление R 2 шунтируется контактором К 4, по которому проходит рабочий ток. Для переключения ответвления в положение 2: переводится верхний контакт в положение 2 без тока в R 1, К 1, К 2; размыкается контактор К 4, в результате чего рабочий ток начинает проходить по сопротивлению R 2; замыкается контактор К 1, при этом рабочий ток перераспределяется между сопротивлениями R 1 и R 2, и в возникшем контуре появляется некоторый уравнительный ток; размыкается контактор К 3; нижний контакт переключателя переводится в положение 2; замыкается контактор К 2, который шунтирует сопротивление R 2, вследствие чего рабочий ток проходит только через контактор К 2.

Активные сопротивления рассчитывают на кратковременный ток, поэтому они более компактны. При этом должно быть обеспечено быстродействие переключателя.

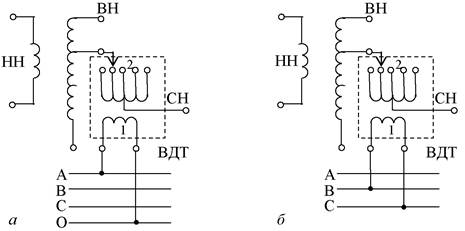
Принципиальные схемы включения одной фазы вольтодобавочных трансформаторов (ВДТ) на примере автотрансформаторов показаны на рис. 17.2, а, б, в. Схемы даны применительно к фазе А автотрансформатора. В зависимости от подаваемого напряжения на питающую обмотку 1 на регулировочной обмотке 2 будет создаваться продольная, поперечная и продольно-поперечная ЭДС. Так, при подключении питающей обмотки к фазе, соответствующей фазе автотрансформатора (в рассматриваемом случае к фазе А), и нейтрали автотрансформатора (рис. 17.12, а) будет создаваться продольная ЭДС, вектор которой совпадает с вектором напряжения данной фазы автотрансформатора. В результате на выходе СН автотрансформатора напряжение будет равно


Если на фазу А питающей обмотки ВДТ подать вектор напряжения (рис. 17.2, б), то в регулировочной обмотке возникнет поперечная ЭДС (рис. 17.3, б), и на выходе СН автотрансформатора напряжение окажется равным




И, наконец, при подаче на фазу А питающей обмотки ВДТ вектора напряжения (рис. 17.2, в) будет создана продольно-поперечная ЭДС (рис. 17.3, в). При этом на выходе СН автотрансформатора будет равно



Заметим, что во всех трех рассмотренных случаях после ВДТ изменяется модуль напряжения и вместо оно становится равным и наименьших нагрузок (рис. 17.4, а). При необходимости рассматривается несколько послеаварийных режимов. Поскольку устройства РПН позволяют производить переход с одного ответвления на другое без отключения трансформатора от сети, то для различных режимов электропотребления в течение суток могут быть выбраны соответствующие желаемые (требуемые) напряжения. Они принимаются исходя из намеченного графика напряжений на шинах ЦП, например, в соответствии с режимом стабилизации напряжения, режимом встречного регулирования и др. Таким образом, в общем случае зададимся желаемыми напряжениями на шинах НН подстанции в режимах наибольших нагрузок U н.ж.нб, наименьших нагрузок U н.ж.нм и в послеаварийном режиме U н.ж.па (рис. 17.4, а). Заметим, что потребителя не интересует, в каком состоянии находится электрическая сеть – нормальном или послеаварийном. В любом случае электроэнергия должна подаваться требуемого качества. Поэтому в качестве желаемого напряжения в послеаварийном режиме обычно выбирают такое же напряжение, как и для нормального режима. Если, например, за послеаварийный режим принят режим наибольших нагрузок, а на шинах НН необходимо обеспечить встречное регулирование, то за желаемые могут быть приняты напряжения


где U ном – номинальное напряжение сети НН.

Для выбора ответвлений должны быть также известны параметры собственно трансформатора. А именно: номинальное напряжение U НН обмотки низшего напряжения и номинальные напряжения U BH каждого из ответвлений обмотки высшего напряжения. При этом искомым является желаемое напряжение U ВН.ж (напряжение ответвления) обмотки высшего напряжения (рис. 17.4, а).

При сформулированной исходной информации для каждого режима электропотребления можно выразить желаемый коэффициент трансформации через параметры режима как отношение напряжения на шинах НН, приведенное к высшему напряжению, и через параметры собственно трансформатора как отношение желаемого напряжения ответвления обмотки высшего напряжения к номинальному напряжению обмотки низшего напряжения:


Отсюда могут быть найдены желаемые напряжения ответвлений трансформаторов для соответствующих режимов, обеспечивающие желаемые напряжения на шинах НН.


По желаемым (расчетным) напряжениям ответвлений принимают ближайшие стандартные напряжения ответвлений из имеющихся на устройстве РПН данного трансформатора U ВН.д.нб, U ВН.д.нм, U ВН.д.па. При выбранных стандартных ответвлениях действительные напряжения на шинах низшего напряжения будут равны


где k т.д – действительный коэффициент трансформации при выбранном ответвлении для соответствующего режима электропотребления.

Рассмотрим теперь подход к выбору ответвлений трехобмоточных трансформаторов с РПН. В качестве исходной режимной информации будут служить напряжения в режимах наибольших и наименьших нагрузок, а также в послеаварийном режиме на шинах НН , приведенные к высшему напряжению (рис. 17.4, б). Как и для двухобмоточных трансформаторов, зададимся желаемыми напряжениями на шинах НН для каждого из рассматриваемых режимов U н.ж.нб, U н.ж.нм, U н.ж.па. При этом устройство РПН в обмотке высшего напряжения будем использовать, прежде всего, для обеспечения заданного режима напряжений на шинах НН. С учетом данного условия на шинах СН может быть задано только одно желаемое напряжение U с.ж для всех режимов, т. к. в обмотке среднего напряжения трансформатора нет устройства РПН.

Трехобмоточный трансформатор сначала рассматривается как двухобмоточный в направлении ВН – НН, и для каждого режима электропотребления выбираются соответствующие ответвления устройства РПН в обмотке высшего напряжения с действительными напряжениями ответвлений U ВН.д.нб, U ВН.д.нм, U ВН.д.па. Эти ответвления будут удовлетворять требуемому режиму напряжений на шинах НН. Затем при фиксированных ответвлениях в обмотке ВН переходят к выбору ответвления в обмотке СН, рассматривая снова трехобмоточный трансформатор в направлении ВН – СН. При этом желаемый коэффициент трансформации может быть записан по параметрам нормальных режимов и параметрам обмоток трансформатора в виде


Отсюда желаемое напряжение ответвления обмотки СН


По этому расчетному напряжению выбирается ближайшее действительное стандартное напряжение ответвления U СН.д, имеющееся на данном трансформаторе. Тогда действительные (фактические) напряжения на шинах СН в соответствующих режимах будут равны


где k т.д – действительный коэффициент трансформации между обмотками ВН и СН трансформатора.

При выполнении расчетов на ЭВМ возможны различные способы выбора ответвлений трансформаторов. По первому способу на шинах ВН, СН и НН подстанции и в нулевой точке схемы замещения трехобмоточного трансформатора задают базисные напряжения, равные номинальному напряжению сети ВН, что соответствует коэффициенту трансформации, равному 1, и производят расчет режима. В результате определяют напряжения, приведенные к шинам ВН. Далее выбирают ответвления трансформаторов по формулам (17.1), (17.3).

Ряд известных программ расчета установившихся режимов позволяет применить второй способ. По нему на шинах ВН, СН и НН подстанций задают базисные напряжения, равные номинальному напряжению соответствующей сети (например, 110, 35 и 10 кВ).

В нулевой точке схемы замещения трехобмоточных трансформаторов базисное напряжение задают равным напряжению на шинах ВН. Для ветви, соответствующей двухобмоточному трансформатору, и ветви, соответствующей обмотке НН трехобмоточного трансформатора, задают ступени регулирования напряжения устройства РПН.

Кроме того, с учетом выбранного принципа встречного регулирования в каждом режиме (режиме наибольших и наименьших нагрузок, в послеаварийных режимах) на шинах НН задают желаемые напряжения.

В результате расчета режима на ЭВМ с такими данными определяют по каждой подстанции выбранные ответвления и фактические напряжения на шинах НН.

Для выбора ответвления на обмотке СН при расчете режима задают коэффициент трансформации в направлении ВН – СН , соответствующий заданным базисным напряжениям на шинах ВН U ВН.б и СН U СН.б.

Найденные при этом напряжения, приведенные к высшему напряжению:


Далее ответвление выбирают по формуле (17.3), Обратим внимание на то, что для устройств РПН ответвления выбирают в каждом из расчетных режимов, а для устройств без РПН – одно ответвление для всех режимов.

Третий способ полезно использовать в проектных расчетах, когда основная задача заключается не в выборе конкретных ответвлений трансформаторов, а в проверке достаточности диапазона регулирования для обеспечения заданных режимов напряжений на шинах вторичного напряжения понижающих подстанций. В этом случае для режима наибольших нагрузок и послеаварийных режимов задают наименьшие коэффициенты трансформации:


где U НН – номинальное напряжение обмотки НН; U отв.мин – наименьшее напряжение из всего диапазона регулировочных ответвлений.

Например, при диапазоне регулирования 115±9 × 1,78 % U отв.мин будет равно 115–9 × 1,78 %, т. е. 96,6 кВ.

На шинах СН базисное напряжение задается равным номинальному напряжению сети.

По результатам расчета режима производят сравнение полученного напряжения на шинах НН U н.д и желаемого напряжения на этих шинах U н.ж в данном режиме. При соблюдении условия U н.дU н.ж имеющийся диапазон РПН на трансформаторе будет достаточным для обеспечения желаемого напряжения в соответствующем режиме.

Аналогично расчет выполняют и для режима наименьших нагрузок, но только коэффициенты трансформации задают наибольшие, т.к. в этом случае необходимо проверить возможность получения напряжения не выше желаемого при наименьших нагрузках


где U отв.макс – наибольшее напряжение из всего диапазона регулировочных ответвлений трансформатора.

Например, при диапазоне регулирования 115±9 × 1,78 % U отв.макс будет равно 115+9 × 1,78 %, т. е. 133,4 кВ.

Если оказывается, что полученное напряжение на шинах НН не больше желаемого в режиме наименьших нагрузок, т. е. U н.д.нмU н.ж.нм, то имеющийся диапазон РПН достаточен для обеспечения требуемого напряжения в этом режиме.

Автотрансформаторы могут иметь устройства РПН в нейтрали обмоток, на стороне среднего напряжения и на стороне высшего напряжения. Преимущественное распространение получили автотрансформаторы с устройствами РПН на стороне среднего напряжения. Поэтому рассмотрим под-ход к выбору ответвлений именно таких автотрансформаторов.

При работе автотрансформаторов в замкнутой сети для связи сетей двух различных номинальных напряжений их ответвления выбираются на основе оптимизации режима данной сети. Однако в ряде случаев возможна работа автотрансформаторов и в радиальных сетях: при нормальной радиальной схеме сети; в замкнутой схеме сети, работающей нормально в разомкнутом режиме по условию экономичности или ограничения токов короткого замыкания; при размыкании замкнутой сети во время ремонтных работ и в послеаварийных режимах. Поток мощности при этом, как правило, направлен со стороны высшего напряжения в сторону среднего (и, возможно, низшего) напряжения. Поскольку определяющим является передача мощности на сторону среднего напряжения, то при выборе ответвлений автотрансформатора задаются желаемым напряжением Uс.ж именно на шинах этого напряжения. Тогда, как и для трансформаторов, применительно к каждому из рассматриваемых режимов можно записать соотношение применительно к коэффициенту трансформации между выводами высшего и среднего напряжения:


где U с'– на шинах среднего напряжения в данном режиме сети, приведенное к высшему напряжению; U BH – номинальное напряжение вывода высшего напряжения; U СН.ж – желаемое напряжение ответвления на стороне среднего напряжения.

Отсюда


При этом желаемая добавка напряжения по сравнению с напряжением среднего ответвления UСН будет равна


или


На основании желаемых U CН.ж и δ U ж выбираются действительные (стандартные) U CН.д и δ U д.

Действительное (фактическое) напряжение на шинах среднего напряжения без добавки δ U д при среднем ответвлении


а при добавке δ U д


где U СН – напряжение среднего ответвления.

Изменения напряжения на шинах среднего напряжения при введении добавки δ U д:


т. е. изменение напряжения равно в процентах вводимой добавке.





Подборка статей по вашей теме: