В распределительных электрических сетях

Выбор режимов регулирования напряжения

Основная цель регулирования напряжения в распределительных сетях 10(6)–0,38 кВ заключается в обеспечении допустимых отклонений напряжения у электроприемников по межгосударственному стандарту. Для регулирования напряжения могут быть использованы устройства РПН трансформаторов или иные устройства, установленные в центре питания распределительной сети, и для улучшения напряжения – трансформаторы подстанций (ТП) 10(6)/0,38 кВ, а в некоторых случаях также компенсирующие устройства, подключенные к сети 10(6) кВ или 0,38 кВ.

Выбор ответвления трансформатора 10(6)/0,38 кВ, производят совместно с выбором режима регулирования напряжения в центре питания. Предварительно выполняют расчеты режимов при наибольших и наименьших нагрузках.

При расчёте режимов распределительной сети 10 (6) кВ вводят следующие упрощения:

а) расчёт потоков мощности на участках сети ведут по номинальному напряжению без учёта потерь мощности. В результате на каждом участке будет получена одна какая-то мощность;

б) пренебрегают поперечной составляющей падения напряжения, а потерю напряжения принимают равной продольной составляющей падения напряжения


в) не учитывают поперечные проводимости линий и потери мощности холостого хода трансформаторов ТП.

По данным параметров участков сети (сопротивлениям) и нагрузкам ТП в соответствующем режиме находят потоки мощности на всех участках сети. Расчёт ведут от концов сети вплоть до ЦП, используя для каждой точки разветвления сети первый закон Кирхгофа.

По найденным потокам мощности с использованием формул для Δ U находят потери напряжения на каждом участке сети и затем - от шин ЦП до шин 0,38 кВ каждой ТП в режиме наибольших и наименьших нагрузок:


Если иметь в виду, что нормируемые допустимые отклонения напряжения у электроприемников не зависят от режима сети, т. е.




В распределительной сети 10(6) кВ, как правило, устанавливают трансформаторы, не имеющие устройства регулирования напряжения под нагрузкой. Вместе с тем эти трансформаторы имеют ответвления, позволяющие устанавливать различные коэффициенты трансформации. Поскольку на них нет устройств РПН, то на каждом конкретном трансформаторе, в различных режимах (наибольших и наименьших нагрузок) может быть установлено только одно ответвление.

На трансформаторах обычно имеется 5 ответвлений со ступенью регулирования коэффициентов трансформации 2,5 %.

Величина добавки напряжения, создаваемая трансформатором, зависит от установленного ответвления:


где U*1номноминальное напряжение первичной обмотки трансформатора (в отн. ед.) с учётом установленного ответвления ; - номинальное напряжение вторичной обмотки трансформатора (в отн. ед.), =0,4/0,38.

Для трансформаторов 10±2×2.5%/0.4 и 6±2×2.5%/0.4кВ значения добавок напряжения приведены в таблице.


Для обеспечения допустимых отклонений напряжения у электроприемников целесообразно использовать все имеющиеся ответвления трансформаторов (см. таблицу). При этом каждому из ответвлений будет соответствовать определённая зона распределительной сети. На ТП, близких к ЦП, следует стремиться установить ответвления с меньшими добавками напряжения (т. е. с наибольшей трансформацией +5 или +2,5 %), а на удалённых ТП - наоборот, с большими добавками напряжения (т. е. с наименьшей трансформацией –2,5 или –5 %).

Сформулируем условия перехода с одного ответвления трансформатора на другое. Для этого определим величины потерь напряжения, при которых на трансформаторных ТП, ближайших к ЦП, может быть установлена наименьшая добавка напряжения 0,25 %, соответствующая ответвлению трансформатора +5 % (таблицу).

Запишем выражение для отклонения напряжения на шинах 0,38 кВ ТП:


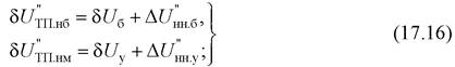
где δ U ЦПотклонение напряжения на шинах ЦП; Δ U H – потеря напряжения от шин ЦП до шин 0,38 кВ ТП; δ U T – добавка напряжения на трансформаторе ЦП.

Отсюда


Допустимые отклонения напряжения на шинах 0,38 кВ ТП определяются выражениями (17.14), (17.16) и (17.17).

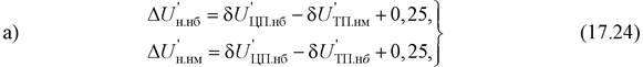
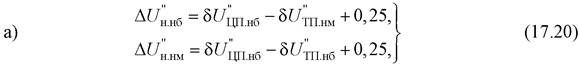
С учётом отмеченного, наибольшая потеря напряжения от шин ЦП до шин 0,38 кВ ТП, при которой на трансформаторах ТП может быть установлено ответвление, соответствующее наименьшей добавке напряжения δ U Т.НМ = 0,25, может быть определена из следующих выражений.

Для режима наибольших нагрузок:


отсюда



отсюда


Таким образом, по условию наибольших нагрузок наименьшая добавка напряжения на трансформаторах может быть выбрана на ТП, для которых одновременно выполняются условия (17.21) и (17.23).

Для режима наименьших нагрузок:


отсюда



отсюда


Отсюда, по условию наименьших нагрузок, наименьшая добавка напряжения может быть выбрана на ТП, для которых одновременно выполняются условия (17.25) и (17.27).

Следовательно, добавка напряжения 0,25 (ответвление +5 %) будет удовлетворять требованиям допустимых отклонений напряжения у всех электроприемников на ТП, для которых одновременно выполняются условия (17.21), (17.23), (17.25) и (17.27). Сравнивая





Подборка статей по вашей теме: