Если выражение является полиномом относительно некоторой переменной x, заданным не в обычном виде
, а как произведение других, более простых полиномов, то коэффициенты
,
,
, … легко определяются символьным процессором Mathcad. Коэффициенты сами могут быть функциями других переменных.
Чтобы вычислить полиномиальные коэффициенты в выражении при помощи меню:
1. Введите выражение.
2. Выделите в нем имя переменной или выражение, для которого требуется рассчитать полиномиальные коэффициенты.
3. Выполните команду Symbolic→Polynomial Coefficients (Символика→Коэффициенты полинома).
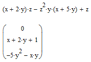
В результате под выражением появится вектор, состоящий из полиномиальных коэффициентов. Первым элементом вектора является свободный член a0, вторым - a1 и т.д.
Пример первого способа:

Чтобы вычислить полиномиальные коэффициенты с помощью оператора символьного вывода:
1. Введите выражение.
2. Нажмите кнопку Coeffs (Коэффициенты) на панели Symbolic (Символика).
3. Введите в местозаполнитель после вставленного ключевого слова coeffs аргумент полинома.
4. Введите оператор символьного вывода →.
5. Нажмите клавишу Enter.






