Разложение выражений
Операция символьного разложения, или расширения, выражений противоположна по смыслу операции упрощения. В ходе разложения раскрываются все суммы и произведения, а сложные тригонометрические зависимости раскладываются с помощью тригонометрических тождеств. Разложение выражений производится путем выбора команды Symbolic→Expand (Символика→Разложить) либо использованием вместе с оператором символьного вывода ключевого слова expand.
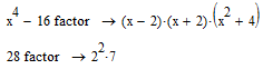
Разложение выражений на простые множители производится при помощи команды Symbolic→Factor (Символика→Разложить на множители) либо использованием вместе с оператором символьного вывода ключевого слова factor. Эта операция позволяет разложить полиномы на произведение более простых полиномов, а целые числа – на простые сомножители. Применяя команду меню, не забывайте перед ее вызовом выделить все выражения или его часть, которую планируете разложить на множители.
Примеры второго способа:







