Симметричный вибратор с синусоидальным распределением тока по его длине сравним с эквивалентной антенной, ток в которой сохраняется неизменным по длине, как у диполя Герца, и равен току на входе вибратора.
Под эквивалентными понимают антенны, создающие равные напряженности поля. Такие антенны должны иметь и равные площади токов.
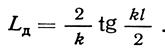
Действующая длина симметричного вибратора


Рисунок 2.6 - Действующая длина симметричного вибратора:
а — общий случай; б — короткий вибратор
Действующая длина симметричного вибратора малых размеров равна длине одного плеча или половине длины всего вибратора Lд=L
Полуволновый вибратор часто рассматривают как эталонный и через его действующую длину выражают параметры других антенн. Действующая длина полуволнового вибратора

Сопротивление излучения симметричного вибратора 
Ток симметричного вибратора не остается постоянным по длине, как в диполе Герца, а изменяется. Определяя сопротивление излучения, его необходимо относить к определенному току, например, к току на входе вибратора или току в пучности. Значение сопротивления излучения симметричного вибратора относительно тока в пучности в зависимости от его относительной длины можно определить по графикам и упрощенным формулам, приводимым в справочной литературе.
Запомните: сопротивление излучения полуволнового вибратора
равно 73,1 Ом, а волнового — 200 Ом.
Знание сопротивления излучения и тока в пучности позволяет определить мощность излучения
. Мощность излучения может быть определена также через сопротивление излучения, отнесенное ко входу антенны:







