Коэффициент защитного действия
Коэффициентом защитного действия (Кзащ) антенны называют отношение квадрата напряженности поля, созданного антенной в главном направлении Е2О к квадрату напряженности поля в направлений, противоположном главному:

(дБ)
4. Ширина главного лепестка.
Ширины главного лепестка по нулевому излучению —
.
Ширины главного лепестка по уровню 0,5 максимальной мощности
, что соответствует уровню 0,707 (3дБ) по напряженности поля (показаны на рисунке 1.5).
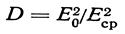
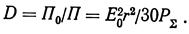
5. Коэффициент направленного действия D.
Коэффициентом направленного действия D в данном направлении называют отношение квадрата напряженности поля, созданного антенной в данном (обычно главном) направлении Еок среднему (по всем направлениям) значению квадрата напряженности поля Еср.



т. е. численное значение КНД показывает, что во сколько раз нужно уменьшить мощность излучения, если ненаправленную антенну заменить направленной при сохранении прежней напряженности поля в главном направлении.
3а ненаправленную (изотропную) условно принимают антенну, равномерно излучающую по всем направлениям. Практически таких антенн нет, так как любая реальная антенна в той или иной степени обладает направленными свойствами.
6. Эффективная, или действующая площадь.
Действующей длиной передающей антенны Lд называют длину излучателя с равномерным распределением тока, который в главном направлении создает такую же напряженность поля, как и реальная антенна при одинаковых токах.


7. Сопротивлением излучения антенны.
Сопротивлением излучения антенны называют коэффициент пропорциональности, связывающий мощность излучения с квадратом действующего значения тока в антенне:
8.Коэффициентом полезного действияантенны называют отношение излучаемой мощности к подводимой мощности






