Ключевым моментом для определения рекурсивных функций в лямбда-исчислении является существование так называемых комбинаторов неподвижной точки. Замкнутый лямбда-терм Y называется комбинатором неподвижной точки, если для любого лямбда-терма f выполняется: f(Y f) = Y f. Таким образом, комбинатор неподвижной точки по заданному терму f возвращает неподвижную точку f, т.е. терм х, такой что f(x) = х. Первый такой комбинатор, найденный Карри, обычно обозначается как Y. Его называют также «парадоксальным комбинатором». Он определяется следующим образом:

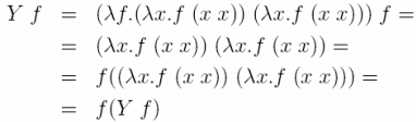
Данное выражение действительно определяет комбинатор неподвижной точки, поскольку:

Комбнатор неподвижной точки Кари решает задачу математичеки. Однако, с вычислительной очки зрения такое определение вызывает трудности, поскольку выполняемые проебразования используют лямбда-равенство, а не редукцию, а также обратную β -конверсию. Поэтому для вычислительных целей более предпочтительно определение комбинатора неподвижной точки, принадлежащее Тьюрингу:
|
|
|

Будем обозначать комбинатор неподвижной точки Тьюринга как Y. Он может быть исползован в определении рекурсивных функций. Рассмотрим в качестве примера функцию факториал:

Преобразуем это выражение к следующему эквивалентному виду:

Т.о. fact = F fact, где

Отсюда можно заключить, что fact является неподвижной точкой функции F т.е., fact = Y F.
Данная техника обобщается для определения взаимно рекурсивных функций, т.е. набора функций, определения которых взаимно зависят друг от друга.

Эти выражения, используя кортежи, можно преобразовать к одному равенству:

Положив t = (f 1, f 2, …, f n) и введя F = λ q. (F 1 q, F 2 q, …, F n q) получим
t = F t.
Отсюда, снова с помощью селекторов f i = (t)i, можно получить отдельные компоненты кортежа t.






