Схема расчета показателей вариации признака
Таблица 1
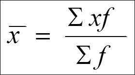
Определяется средняя арифметическая величина
![]() |
| Группы (интервалы по колич. признаку) | Число единиц совокупности (f) | Центральная варианта (x) | x*f |
| …. | |||
| …. | |||
| …. | |||
| ИТОГО |
| - | ![]() ![]() ![]() ![]() ![]() ![]() ![]()
|
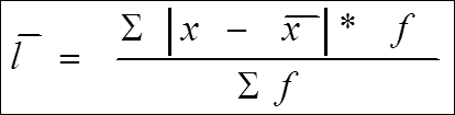
2. Расчётную таблицу можно дополнить столбцами для расчёта остальных показателей вариации признака (продолжение).
Продолжение табл.1
|
|
|
|
| - |
| - | ![]() ![]()
|
![]() |
![]() | |||||
![]() | |||||
![]() |
Примеры расчётов см. в файле Excel «Примеры к лекциям 5, 6)»














