Классификация горных пород по трудности разработки и бурения.
В качестве физико-механической основы сопоставления горных пород по трудности их разработки академиком В.В. Ржевским рекомендован относительный показатель трудности разрушения породы П р, который может быть определен по следующей зависимости
П р= 0,5· К тр(σсж+ σсдв+ σраст)+0,5·γ,
Где К тр коэффициент трещиноватости горных пород (0,05…1,0); σсж =(34…450); σсдв=(0,01…75); σраст=(0,0…43)- соответственно пределы прочности горных пород на сжатие, сдвиг и растяжение, МПа; γ- плотность породы, т/м3.
Все горные породы, подвергаемые разрушению механическим способом, с точки зрения трудности разрушения делятся на пять классов:
I класс — легкоразрушаемые (П р =1…5);
II класс-средней разрушаемости (П р =5…10);
III класс — трудноразрушаемые (П р = 10…15);
IV класс —весьма трудноразрушаемые (П р =15…20);
V класс — исключительно трудноразрушаемые (П р =20…25).
Породы с П р >25 относятся к внекатегорным.
В зависимости от трудности разрушения пород установлена классификация горных пород, состоящая из девяти групп, пять из которых разрабатываются без применения буровзрывных работ. Для каждой группы пород профессорами Н. Г. Домбровским и Ю. И. Беляковым были экспериментально установлены коэффициенты сопротивления копанию K f(МПа) основными видами экскавационного оборудования.
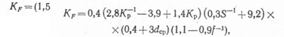
Для одноковшовых экскаваторов величину K fв массиве для невскрытых горизонтов проф. Ю. И. Беляков рекомендует определять по зависимости
![]() |
где См — прочность породы в массиве; μ э— коэффициент, учитывающий разницу во вместимости Е (м3) ковша (μ эизменяется от 1,1 до 0,7 при вместимостях ковшей Е от 2 до 20 м3).
где КР — коэффициент разрыхления; S — глубина внедрения зубьев ковша, м; dcp — средний линейный размер куска, м; f – коэффициент крепости породы.



– Характеристика буримости горных пород
Эффективность бурения взрывных скважин определяется скоростью бурения, которая зависит от способности породы разрушаться под воздействием бурового инструмента (основной фактор); его вида и формы, а также способа, усилия и скорости его воздействия на забой скважины; диаметра, скважины и в ряде случаев от ее глубины; способа, скорости и тщательности удаления из забоя скважины буровой мелочи, препятствующей разрушению по роды.
Все перечисленные факторы определяют технологические параметры буровых станков.
Для сопоставления пород по буримости (механическим спо собом) по аналогии с коэффициентом сопротивления копанию введен относительный показатель трудности бурения породы П б
П б= 0,07∙(σсж+ σсдв)+0,7γ
Все горные породы при механических способах бурения по аналогии с показателем П р (см. формулу 1.1) и в соответствии с величиной П б -подразделяются по буримости на пять классов:
I класс — легкобуримые (П б=1…5);
II класс — средней бури мости (П б = 5…10);
III класс — труднобуримые (П б =10…15);
IV класс — весьма труднобуримые (П б = 15…20);
V класс — исключительно труднобуримые (П б = 20…25).
![]() |
Породы с показателем П б>25 относятся к внекатегорным. Удельное сопротивление горной породы разрушению при бурении шарошечным и шнекобуровым способами может быть оценено по среднему приведенному пределу прочности породы при разрушении механическим способом бурения σм.б. (МПа)








