При вращательном бурении порода разрушается под действием осевого усилия подачи Рос и крутящего момента, передаваемого станком резцовой коронке (рис.). При этом осевое усилие должно преодолеть сопротивление
N iпороды внедрению торцо вых площадок режущих лезвий коронки даже при их затуплении (участок aO 1 ), а крутящий момент должен превысить сопротивление сколу участков породы, прилегающих к передним режущим граням резца.
Передняя грань инструмента сминает породу, в результате чего образуется ядро уплотнения А, состоящее из мелко раз дробленной породы. Усилие на лезвии и потребляемая мощность при вращении инструмента в этот момент увеличиваются до максимума, после чего происходит скол объема abсd. При этом сопротивление породы и потребляемая мощность резко снижаются до минимума, а далее цикл разрушения повторяется. Если осевое усилие на инструменте недостаточно при большом затуплении режущих лезвий, то разрушение пород будет носить характер абразивного истирания. Эффективность разрушения при этом резко снижается.
Расчеты режимных параметров бурения сводятся к определению значений осевого усилия Рос (кН), толщины стружки hc (м), скорости бурения Vб.т (м/мин) и частоты вращения шнека пвр (с-1), при которой будет обеспечена транспортировка частиц породы из скважины.
Предполагаем, что движение резца осуществляется по винтовой линии и резец — идеально жесткое тело.
Вращаясь вокруг оси с угловой скоростью штанги (шнека), резец подается на забой и при этом каждое его перо за один оборот срезает с торцовой поверхности скважины стружки толщиной

где Zn — число перьев коронки резца.
Принимая угол резания резца α1 = 90°, можно полагать, что усилие сопротивления сколу N х(кН) разрушаемой породы, действующее на переднюю грань пера коронки диаметром DK (м), параллельно торцу скважины и составляет 
где К к — 0,5…0,7 — коэффициент, учитывающий неполноту кон такта площади передней грани резца с породой.
Величину реакции, возникающей на площадках касания резца с породой (на площадках износа аО и по задней грани Охе), равную по величине осевому усилию Рос, принято определять в зависимости от вели чины N х:

где Сш= 1,5…0,7— опытный ко эффициент, большие значения которого принимаются для более затупленного инструмента и меньших значений толщины стружки.
На существующих станках с режущими коронками удельные осевые нагрузки на лезвие резца устанавливают в пределах 100— 300 кН/м, что, с одной стороны, достаточно для разрушения пород с коэффициентом крепости f ≤ 6, а с другой — не приводит к его интенсивному износу.
С учетом затрат энергии на преодоление силы Nx и на трение затупленного участка аО 1(сила F2) и задней грани резца о породу (сила F 1 ) с коэффициентом трения μ1, величина момента M1 (кН·м), необходимого для вращения штанги с разрушающей породу резцовой коронкой, может быть определена по формуле

Удаление буровой мелочи шнеком из вертикальной скважины возможно только в том случае, когда частота вращения шнека nвр выше критической частоты вращения n0(с-1). При nвр = n0 частицы породы вращаются вместе со шнеком, но вверх не поднимаются, и только при nвр > n0 начинается подъем по роды по шнеку.
Критическая частота вращения шнека радиусом r(м) с углом подъема винтовой линии β (градус)

где μ1и μ2–соответственно коэффициенты трения породы о сталь и породы о породу; g - ускорение свободного падения, м/с2.
Производительность шнека пропорциональна разности между абсолютной и критической частотами вращения.
Производительность V (м3/мин) шнека с шагом винта S (м)
Составляет

где К= 0,8…0,9 — коэффициент просыпания породы в зазор между шнеками и стенками скважины; D и d — диаметры соответственно шнека и его вала, м; ψ — коэффициент заполнения шнека.
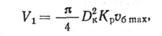
Объем породы V1 (м3/мин), разрушаемый коронкой:

где Кр — коэффициент разрыхления породы; V б.max — максимальная скорость бурения, на которую рассчитан станок, м/мин.
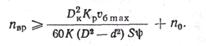
Для обеспечения транспортирования объема породы V1 необходимо, чтобы V>V1,тогда потребная частота вращения шнека

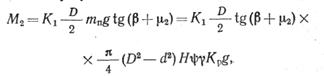
Момент М2 (кН·м), необходимый для обеспечения подъема породы шнеком, при максимальной глубине Н (м) его погружения в скважину будет

где K1= 1,5…2 — коэффициент, учитывающий трение шнека о стенки скважины; m п — масса породы, находящейся на лопастях шнека, т; γ— плотность породы, т/м3.
Мощность двигателя вращателя Nвр (кВт) станка шнекового бурения при известных частоте вращения шнека nвр (угловой скорости шнека ωвр, рад/с) и к. п. д. механизма вращателя определяется из выражения