Пример 2. Требуется оценить показатели безотказности усилительного каскада (рис.3.2), функционирующего в составе РЭУ и предназначенного для эксплуатации в наземных стационарных условиях.
Предполагается, что каскад будет изготовлен с использованием печатного монтажа. Заданное время работы tз = 1000 ч.
Решение. Выполним ориентировочный расчет показателей надежности этого каскада.
| Рис.5.15. Электрическая принци- пиальная схема усилительного каскада |
1. Сформируем группы однотипных элементов и для каждой группы по справочникам (прил.1) определим значение интенсивностей отказов, соответствующее в среднем элементам каждой группы. Для электролитических конденсаторов это значение равно 0,40 • 10-6 1/ч, так как тип конденсатора пока не выбран (алюминиевый или танталовый). Для резисторов выбираем значение интенсивности отказов, соответствующее мощности рассеивания менее 0,5 Вт при постоянном токе, поскольку электрический каскад является маломощным, и энергетическая нагрузка элементов
|
|
|
в основном определяется режимом по постоянному току. Аналогично выбираются значения интенсивностей отказов для остальных элементов (компонентов). Информация о значениях интенсивностей отказов представлена в табл.3.2.
Таблица 3.2. К примеру ориентировочного расчета показателей надежности
| Группа элементов | Количество элементов в j-й группе nj | Интенсивность отказов для элементов j-й группы л0j, х 10 -6 1/ч | Произведение л0j∙nj, х 10 -6 1/ч |
| Транзистор | 0,40 | 0,40 | |
| Резистор | 0,05 | 0,2 | |
| Конденсатор | 0,40 | 0,40 | |
| Печатная плата | 0,2 | 0,2 | |
| Пайка | 0,04 | 0,72 | |
| У | — | — | 1,92 |
Число паек определено как суммарное число выводов элементов и внешних выводов каскада. Из табл.3.2 понятно, как подсчитана суммарная интенсивность отказов элементов каскада. В данном случае пайки рассматриваются как элементы.

2. С помощью обобщенного эксплуатационного коэффициента, найденного по справочным таблицам для наземных стационарных условий (см. табл.3.1), скорректируем величину лУ, учтя тем самым приближенно электрический режим и условия работы элементов каскада. Примем КЭ = 3,0 (см. табл.3.1). Тогда

3. По общепринятым формулам для экспоненциального закона надежности подсчитываем другие показатели надежности:
а) наработка каскада на отказ

б) вероятность безотказной работы за время ta

в) гамма-процентная наработка до отказа (при у = 99%)

Пример 3. Выполним уточненный расчет показателей безотказности усилительного каскада, рассмотренного в примере 2.
Параметры элементов:

Для сборки каскада использован печатный монтаж. Тип выбранных резисторов ОМЛТ с номинальной мощностью рассеивания Рном = 0,125 Вт и допуском на сопротивление ±10%. Тип выбранного конденсатора К50-6 с допустимым напряжением Uном = 6 В. Тип транзистора VT1 — КТ301Д. Напряжение источника питания Uпит = 20 В ±10%.
|
|
|
Усилительный каскад используется в составе радиоэлектронного устройства, для которого характерны следующие условия эксплуатации:
диапазон рабочих температур -10... +45 °С; относительная влажность воздуха до 80% при температуре +25 °С; атмосферное давление 93 + 13 кПа.
Расчет теплового режима устройства, в котором используется усилительный каскад, показал, что перегрев в нагретой зоне составляет не более 18 °С, а средний нагрев воздуха в устройстве — примерно 12 °С.
Решение. 1. Определим, какие значения коэффициентов электрической нагрузки характерны для выбранных элементов усилительного каскада.
Для подсчета указанных коэффициентов воспользуемся формулами табл. 2.1. Номинальные или допустимые по ТУ эксплуатационные электрические характеристики, используемые в формулах табл.2.1 для резисторов и конденсатора указаны в условии примера, а именно: для резисторов Рном = 0,125 Вт; для конденсатора Uном = 6 В.
Для транзистора допустимые (предельные) по ТУ электрические характеристики определим из справочных данных на транзистор типа КТ301Д. Получим:
постоянный ток коллектора IК = 10 мА;
постоянное напряжение между коллектором и эмиттером UKЭ = 30 В;
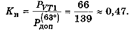
мощность, рассеиваемая на коллекторе при температуре +60 °С, Рдоп = 150 мВт;
мощность, рассеиваемая на коллекторе при температуре +85 °С, Рдоп = 58 мВт;
при повышении температуры от +60 до +85 °С допустимая мощность снижается линейно, т.е. по закону

где t° — температура окружающей среды, °С.
Значения электрических характеристик элементов в рабочем режиме определим, выполнив экспресс-анализ (приближенный расчет) электрического режима рассматриваемого усилительного каскада (см. рис.3.2).
Экспресс-анализ для простоты иллюстрации выполним для средних значений параметров элементов. При детальном инженерном анализе следует учитывать экстремальные условия при нагрузке всех элементов.
При экспресс-анализе рассматриваемого усилительного каскада следует учесть эквивалентное входное сопротивление цепи база — эмиттер, включенное параллельно резистору R2. Это сопротивление (rвх) можно определить как

где rб — сопротивление тела базы транзистора.
Согласно ТУ транзистор КТ301Д имеет коэффициент усиления по току в = 20...60.
В данном примере, по условию, максимальная рабочая температура устройства составляет +45 °С, а перегрев в нагретой зоне — до 18 °С. Следовательно, максимальная рабочая температура транзистора может быть +63 °С. Поэтому для дальнейшего анализа из справочника взяты значения коэффициента усиления по току, соответствующие именно этой температуре.
Для расчетов примем среднее значение коэффициента

Тогда

Общее сопротивление параллельно включенных резистора R2 и сопротивления rвх.

Ток, протекающий через резистор R1,

Напряжение на базе (в точке А)

Ток, протекающий через базу транзистора,

Ток коллектора транзистора

Мощности, рассеиваемые на резисторах: на резисторе R1

на резисторе R2

на резисторы R3

на резисторе R4, (предполагая, что IR4 = IЭ = IК)

Напряжение на конденсаторе

Напряжение на транзисторе

Мощность, рассеиваемая на транзисторе (коллекторе).

Коэффициент электрической нагрузки резисторов R1-R4 и конденсатора С1 подсчитываем по формулам (табл.2.1) с учетом того, что для резисторов Рном =0,125 Вт, а для конденсатора Рном =6 В.
Нетрудно убедиться, что для транзистора КТ301Д в рассматриваемой электрической схеме определяющими электрическими характеристиками, влияющим на надежность, являются как ток коллектора, так и прикладываемое к нему напряжение. Поэтому учет электрической нагруженности транзистора выполним с помощью коэффициента электрической нагрузки по мощности. Для подсчета указанного коэффициента необходимо располагать значением Рдоп, соответствующим максимальной рабочей температуре транзистора. Эту температуру определим как
|
|
|

где tєраб.max — максимальная рабочая температура устройства. Получим

Согласно ТУ, с повышением температуры от +60 до +85 °С допустимая мощность, рассеиваемая транзистором, изменяется по закону

Для температуры t° = 63 °С

Следовательно, коэффициент нагрузки транзистора

Значения коэффициентов электрической нагрузки, подсчитанные для элементов усилительного каскада, указаны в табл. 3.3.
Таблица 3.3 К примеру уточненного расчета показателей надежности
| Группа элементов (поз. обозн) | Кол-во элементов в группе пj | Справоч- ноезначение л0j, х 10 -6 1/ч | Коэф-т электр. нагрузки КН | Макс. рабочая темпера- тура, °С | Произведение поправочных коэф-тов бУ | Значение лj(х), х 10 -6 1/ч | Значение пj∙ лj(х), х 10 -6 1/ч |
| VT1 | 0,40 | 0,47 | 1,5 | 0,600 | 0,6 | ||
| R1, R2 | 0,05 | < 0,1 | 0,15 | 0,008 | 0,016 | ||
| R3 | 0,05 | 0,52 | 0,7 | 0,035 | 0,035 | ||
| R4 | 0,05 | 0,13 | 0,2 | 0,01 | 0,01 | ||
| С1 | 0,55 | 0,37 | 2,0 | 1,1 | 1,1 | ||
| Печат. плата | 0,2 | — | 1,0 | 0,2 | 0,2 | ||
| Пайка | 0,04 | — | 3,0 | 0,12 | 2,16 | ||
| У | — | ≈4,2 |
2. При учете электрического режима и условий работы элементов усилительного каскада примем во внимание два важнейших фактора: коэффициенты электрической нагрузки Кн и температуру t°.
Коэффициенты электрической нагрузки элементов были определены выше (см. табл.3.3).
Температуру элементов определим следующим образом: для теплонагруженных элементов (R1-R4 и VT1)

где tєраб.max — максимальная рабочая температура;
Дtє3 — перегрев в нагретой зоне устройства;
для нетеплонагруженных элементов (конденсатор, печатная плата, пайки)

где ДtєВ — средний перегрев воздуха в устройстве.
Расчётные значения температуры элементов внесены в табл.
3. Формируем группы однотипных элементов.
В данном случае образуются две группы однотипных элементов с количеством элементов в группе более одного. Первая группа — это резисторы R1 и R2 (для них КH< 0,1), вторая группа — пайки. Отдельные группы образуют элементы R3, R4, С1 и VT1. Самостоятельную группу составляет также печатная плата.
|
|
|
4. Суммарную интенсивность отказов элементов усилительного каскада определяем по формулам (3.6), (3.7). При этом справочные значения интенсивностей отказов элементов каждой группы находим с использованием прил.2, а поправочные коэффициенты, учитывающие влияния коэффициентов электрической
нагрузки и температуры, определяем по номограммам, приведенным в прил.1 на рис.П2.1-П2.З.
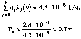
Результаты расчетов сведены в табл.3.3. Расчетное значение величины лУ(х) составляет

5. Определяем наработкуна отказ:

Рассчитываем вероятность безотказной работы усилительного каскада за время t3 = 1000 ч. Получим

6. Определяем гамма-процентную наработку до отказа. Для значения г= 99%

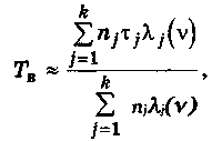
7. Подсчитываем среднее время восстановления Тв по формуле

где фj — среднее время восстановления элементов j-й группы;
k — количество групп однотипных элементов, включая пайки, несущие конструкции и т.п.
Расчет величины Тв сиспользованием данных приложения и табл.3.3 сведен в табл.3.4. С учетом того, что

Таблица 3.4К примеру расчета показателей восстанавливаемости
| Группа элементов | Количество элементов в группе nj | Значение лj(х), х 10 -6 1/ч | Значение фj, ч (прил.4) | Произведение пj∙ фj∙лj(х), х 10 -6 1/ч |
| VTI | 0,6 | 0,8 | 0,48 | |
| Rl, R2 | 0,008 | 0,5 | 0,008 | |
| R3 | 0,035 | 0,5 | 0,018 | |
| R4 | 0,01 | 0,5 | 0,005 | |
| С1 | 1,1 | 0,55 | 0,605 | |
| Печат. плата | 0,2 | 3,0 | 0,600 | |
| Пайка | 0,12 | 0,5 | 1,080 | |
| У | — | — | — | ≈2,8 |
8. Подсчитываем значение вероятности восстановления устройства за заданное время т3 (примем т3 = 1,5 ч)







