Параметры РЭУ являются случайными функциями времени эксплуатации и хранения. В начальный момент, после изготовления изделия, значения его параметров будут случайными вследствие технологических (производственных) погрешностей. Старение и износ проявляются в сравнительно медленном изменении параметров РЭУ, обычно в одну сторону. Как правило, процесс этот необратимый. Реализация этого процесса — монотонное изменение выходных параметров РЭУ во времени. Но скорость старения для различных экземпляров одного и того вида РЭУ обычно различна и зависит от условий его использования и эксплуатации, конструктивного исполнения, и т.п. Время достижения параметром его допустимой границы будет случайным.
Рассмотрим задачу определения закона распределения времени достижения критических границ при постепенных изменениях параметров. Применение общей теории и методов случайных функций в этом случае затруднительно из-за сложности математических выражений.
Для расчетов устойчивости параметров и надежности РЭУ по постепенных отказам выбирают математическую модель процесса старения. Реализации процессов старения, получаемые экспериментально, в общем случае являются нелинейными. Для приближенных инженерных расчетов применяют линейную аппроксимацию действительных кривых, т.е. предполагают линейные изменения параметра в каждом единичном экземпляре РЭУ в пределах среднего времени между двумя отсчетами.
В этом случае для параметра х, как функции времени t, можно записать
(3.18)
где о, з —независимые случайные величины;
о= x(t = 0) —начальное значение параметра x(t); случайность
значения о определяется производственными причинами;
з —случайная скорость старения или износа, отражает
различие исходных свойств материалов и конструкций.
| Рис.5.23. К вопросу о нахождении закона распределения времени достижения параметром критической границы |
Сформулируем задачу таким образом. Известны законы распределения величин о и з. Требуется найти закон распределения времени t достижения параметром x(t) критической границы хкр, что позволяет рассчитать вероятность того, что за время t параметр не достигнет критической границы, т.е. оценить вероятность, отсутствия за время t постепенного отказа по параметру x(t).
Для решения этой задачи выполним построения, показанные на рис.3.5.
В вертикальном сечении по t имеем распределениепараметра щ(x/t). В горизонтальном сечении по хкр имеем плотность распределения щ(t/xкр) случайного времени достижения параметром x(t) критического уровня хкр.
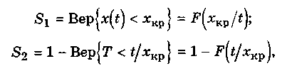
Из построений видно, что число реализаций, пересекающих границу хкр для моментов времени, больших t, равно числу реализаций в сечении t при х <хкр.
Следовательно, площади S1 и S2 равны между собой. В свою очередь можно записать:

где Т — случайное время достижения параметром x(t) критической границы хкр;
F(xкp/t) — функция распределения параметра x(t), подсчитанная для значения x(t) = хкр в сечении t;
F(t/xкp) — функция распределения времени достижения параметром x(t) критического уровня хкр, подсчитанная для значения t. Из равенства S1 = S2 получим

Отсюда

Из последнего выражения видно, что нужно определить значение функции распределения F(x/t) в точке x(t) = хкр для сечения t.
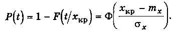
Будем считать, что случайные величины о и з, входящие в функцию (3.18), подчиняются нормальным законам. Тогда сама функция x(t) также будет подчиняться нормаль ному закону с параметрами

где у, т — знаки математического ожидания и среднего квадратического отклонения.
Выразим функцию распределения параметра x(t) через табличную функцию стандартного нормального распределения Ф

Функция распределения времени достижения критической границы:

Вероятность того, что за время t параметр не достигнет критического уровня xкр определится как

Это выражение может быть использовано и в задачах оценки уровня параметрической надежности по параметру x(t).






