Создайте документ «Лабораторная работа 4» в своей личной папке.
Запишите заголовок «Лабораторная работа 4».
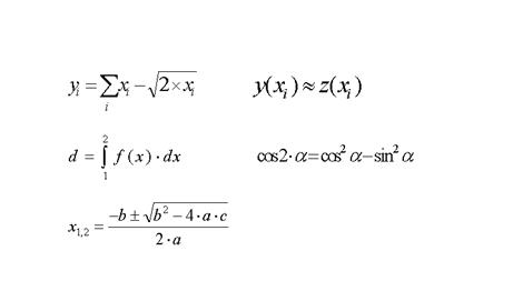
Используя возможности редактора формул, наберите предложенные ниже формулы. Для этого воспользуйтесь командой меню Вставка -Объект. В диалоговом окне Объект выберите тип объекта Microsoft Equation. В окне Equation выберите подходящую конструкцию для вашей формулы.
Запишите документ на диск в свою личную папку.
5. Стандартно завершите работу с редактором Word.

7. Напишите уравнение реакции между водородом и кислородом, используя вставку символов и нижние индексы (меню Формат, строка Шрифт, вкладка Эффекты):
H2 +O2Þ2 H2 O
8. Вставьте в конец текст картинку подходящего по тематике содержания.
9. Перенесите картинку в начало текста и расположите после заголовка.
10. Сохраните документ.
11. Завершите работу в редакторе Word.






