Случайные погрешности - это погрешности значения, которых при измерениях нельзя предсказать. Если несколько раз производить измерения тогда:
∆i – случайная погрешность.
Аi – измерение в i опыте.
Аист – истинное значение измеряемой величины.
∆i = Аi - Аист
Истинное значение нам не известно, поэтому пересказать результат не возможно. Однако есть закономерности.
1. Средняя величина большого числа измерений остается постоянной.
2. Вероятность (частота) появления, как положительных, так и отрицательных отклонений остается постоянной.
3. Вероятность появления больших отклонений меньше, чем появления малых отклонений.
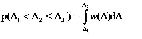
Для характеристики случайных погрешностей используют закон распределения вероятностей: ɷ(∆).
С помощью закона распределений можно определить вероятность нахождения погрешность в заданном интеграле.

В качестве закона распределения используют равномерный треугольный нормальный экспоненциальный закон Пуассона, закон Райса, закон Рэлея. Чаще всего на практике используют нормальный закон:
|
|
|
1. На измерения влияет большое число случаемых факторов, поэтому закон приближается к нормальному в определенном диапазоне ошибок.
2. Исключается возможность недооценки погрешностей, так как нормальный закон дает несколько завышенные границы.
Аналитическое выражение нормального закона:

M∆ - математическое ожидание случайной величины.
σ- среднее квадратичная погрешность.

Правила суммирования погрешности.
Результирующую погрешность определяют из отдельных составляющих. Число составляющих ошибки определяется принципом работы устройства, различными факторами внешних условий. В некоторых случаях число составляющих может достигать десятков. Возможны следующие подходы к решению задачи.
1. Арифметическое суммирование.

i – номер погрешности
N – общее количество погрешности
– max итая погрешность
При измерениях погрешности не может превысить данную величину. Так как на практике редко возникают случаи, когда все погрешности могут быть. Вероятность достижения такой величины мала, поэтому используется редко.
2. Геометрическое суммирование.
Общая случайная погрешность определяется геометрической суммой частных случаев погрешностей.

Следствием такова суммирования является, то, что общая случайная погрешность зависит от наиболее крупных составляющих погрешностей.






