Наиболее широко известной и применяемой на практике системой счисления является десятичная. Это позиционная система счисления. Десятичная система счисления имеет десять цифр {0,1,2,3,4,5,6,7,8,9}, что и определило название системы и ее важнейшую характеристику – основание системы. Обозначим ее буквой p. Для десятичной системы счисления p=10.
Любую позиционную систему счисления можно разложить по степеням основания. Пусть в десятичной системе счисления задано некоторое число
. Каждая позиция занимаемая цифрами называется разрядом числа. Разряды имеют названия и номера: разряд единиц, разряд десятков, разряд сотен, разряд тысяч и т.д. Названия разрядов определяют их вес: единицы, десятки, сотни, тысячи и т.д. Вес разряда равен степени основания в порядке номера разряда.
В общем случае для разложения по степеням основания числа, записанного в десятичной системе счисления выражение будет иметь следующий вид:
| (2) |
где:
n – количество разрядов числа;
- значение соответствующего разряда.
где i – вес соответствующего разряда.
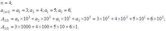
Так при разложения в степенной ряд по основанию десятичного числа
получим:

Последняя запись представляет собой сумму произведений цифр числа на вес разрядов. Эту запись называют формулой разложения числа.






