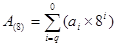
Основание восьмеричной системы счисления равно 8 (p=8) определяет число цифр входящих в данную систему счисления: {0,1,2,3,4,5,6,7} восемь цифр. Восьмеричная система счисления, так же как и десятичная является позиционной. Формула разложения по степени основания числа записанного в восьмеричной системе счисления имеет следующий вид:

где:
- значение числа в восьмеричной системе счисления;
q – количество разрядов числа записанного в восьмеричной системе счисления.
I – номер разряда;
- значение i-го разряда числа записанного в восьмеричной системе счисления.
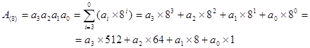
Так для четырехразрядного числа, записанного в двоичной системе счисления формула разложения по степени основания будет иметь следующий вид:







