Десятичная система счисления является частным случаем N-ричной системой счисления, то есть системой счисления по основанию N. p=N, где N – положительное целое число.
N-ричная система имеет N цифр, от 0 до N-1. Формула разложении по степеням для N-ричной системы счисления будет иметь следующий вид:

где:
- значение числа в N-ричной системе счисления;
q – количество разрядов числа записанного в N-ричной системе счисления.
i – номер разряда;
- значение i-го разряда числа записанного в N-ричной системе счисления.
N – основание системы счисления, в которой записано число.
Примером N-ричной системы счисления может служить троичная, четверичная и т.д.
3.3. Системы счисления, используемые в вычислительной технике.
Ввод и вывод информации при работе с вычислительной техникой происходит в привычной для человека десятичной системой счисления. Однако все операции по обработке и хранению данных любое устройство вычислительной техники выполняет в двоичной системе счисления. Кроме того в устройствах вычислительной техники используются вспомогательные системы счисления: это восьмеричная (система счисления по основанию 8) и шестнадцатеричная – система счисления по основанию 16.
3.3.4. Двоичная система счисления.
Основание двоичной системы счисления равно 2 (p=2) определяет число цифр входящих в данную систему счисления: {0,1} две цифры. Двоичная система счисления, так же как и десятичная является позиционной. Формула разложения по степени основания числа записанного в двоичной системе счисления имеет следующий вид:

где:
- значение числа в двоичной системе счисления;
q – количество разрядов числа записанного в двоичной системе счисления.
I – номер разряда;
- значение i-го разряда числа записанного в двоичной системе счисления.
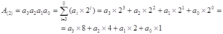
Так для четырехразрядного числа, записанного в двоичной системе счисления формула разложения по степени основания будет иметь следующий вид:







