1. Метод Стокса*. Этот метод определения вязкости основан на измерении скорости медленно движущихся в жидкости небольших тел сферической формы.
На шарик, падающий в жидкости вертикально вниз, действуют три силы: сила тяжести Р = 4/3p r3rg (r — плотность шарика), сила Архимеда FA = 4/3p r3r¢g (r' — плотность жидкости) и сила сопротивления, эмпирически установленная Дж. Стоксом: P = 6phrv, где г — радиус шарика, v — его скорость. При равномерном движении шарика

Измерив скорость равномерного движения шарика, можно определить вязкость жид кости (газа).
2. Метод Пуазейля**. Этот метод основан на ламинарном течении жидкости в тонком капилляре. Рассмотрим капилляр радиусом R и длиной /. В жидкости мысленно выделим цилиндрический слой радиусом г и толщиной dr (рис. 54). Сила внутреннего трения (см. (31.1)), действующая на боковую поверхность этого слоя,

где dS— боковая поверхность цилиндрического слоя; знак минус означает, что при возрастании радиуса скорость уменьшается.

Рис. 54
Для установившегося течения жидкости сила внутреннего трения, действующая на боковую поверхность цилиндра, уравновешивается силой давления, действующей иа его основание:
|
|
|

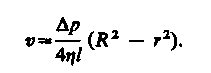
После интегрирования, полагая, что у стенок имеет место прилипание жидкости, т. е. скорость на расстоянии R от оси равна нулю, получаем

Отсюда видно, что скорости частиц жидкости распределяются по параболическому закону, причем вершина параболы лежит на оси трубы (см. также рис. 53). За время t из трубы вытечет жидкость, объем которой

откуда вязкость







