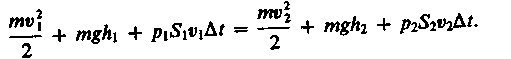
Выделим в стационарно текущей идеальной жидкости (физическая абстракция, т. е. воображаемая жидкость, в которой отсутствуют силы внутреннего трения) трубку тока, ограниченную сечениями S1и S2, по которой слева направо течет жидкость (рис. 47). Пусть в месте сечения S1скорость течения v1, давление p1и высота, на которой это сечение расположено, h1.Аналогично, в месте сечения S2 скорость течения v2, давление p2 и высота сечения h 2. За малый промежуток времени Dt жидкость перемещается от сечения S1 к сечению S¢1, от S2 к S¢2.

Рис. 47
Согласно закону сохранения энергии, изменение полной энергии Е2—Е1 идеальной несжимаемой жидкости должно быть равно работе А внешних сил по перемещению массы т жидкости:
(30.1)
где Е1 и Е2— полные энергии жидкости массой т в местах сечений S1 и S2 соответственно.
С другой стороны, А — это работа, совершаемая при перемещении всей жидкости, заключенной между сечениями S1и S2, за рассматриваемый малый промежуток времени Dt. Для перенесения массы т от S1 до S2жидкость должна переместиться на расстояние l 1 = v1Dt и от S2 до S2 — на расстояние l 2=v2Dt. Отметим, что l1и l2 настолько малы, что всем точкам объемов, закрашенных на рис. 47, приписывают постоянные значения скорости v, давления р и высоты h. Следовательно,
|
|
|
(30.2)
где F1 = p1S1 и F2= —p2S2(отрицательна, так как направлена в сторону, противоположную течению жидкости; рис. 47).
Полные энергии E1и E2будут складываться из кинетической и потенциальной энергий массы т жидкости:
(30.3)
(30.4)
Подставляя (30.3) и (30.4) в (30.1) и приравнивая (30.1) и (30.2), получим
(30.5)
Согласно уравнению неразрывности для несжимаемой жидкости (29.1), объем, занимаемый жидкостью, остается постоянным, т. е.

Разделив выражение (30.5) на DV, получим

где r— плотность жидкости. Но так как сечения выбирались произвольно, то можем записать
(30.6)
Выражение (30.6) выведено швейцарским физиком Д. Бернулли (1700—1782; опубликовано в 1738 г.) и называется уравнением Бернуллн. Как видно из его вывода, уравнение Бернулли — выражение закона сохранения энергии применительно к установившемуся течению идеальной жидкости. Оно хорошо выполняется и для реальных жидкостей, внутреннее трение которых не очень велико.
Величина р в формуле (30.6) называется статическим давлением (давление жидкости на поверхность обтекаемого ею тела), величина pv2/2 — динамическим давлением. Как уже указывалось выше (см. § 28), величина pgh представляет собой гидростатическое давление.
Для горизонтальной трубки тока (h1 = h2выражение (30.6) принимает вид
(30.7)
где p + pv2/2 называется полным давлением.
Из уравнения Бернулли (30.7) для горизонтальной трубки тока и уравнения неразрывности (29.1) следует, что при течении жидкости по горизонтальной трубе, имеющей различные сечения, скорость жидкости больше в местах сужения, а статическое давление больше в более широких местах, т. е. там, где скорость меньше. Это можно продемонстрировать, установив вдоль трубы ряд манометров (рис. 48). В соответствии с уравнением Бернулли опыт показывает, что в манометрической трубке В, прикрепленной к узкой части трубы, уровень жидкости ниже, чем в манометрических трубках А я С, прикрепленных к широкой части трубы.
|
|
|

Рис. 48
Так как динамическое давление связано со скоростью движения жидкости (газа), то уравнение Бернулли позволяет измерять скорость потока жидкости. Для этого применяется трубка Пито — Прандтля (рис. 49). Прибор состоит из двух изогнутых под прямым углом трубок, противоположные концы которых присоединены к манометру. C помощью одной из трубок измеряется полное давление (р0), спомощью другой — статическое (р).Манометром измеряют разность давлений:
(30.8)
где r0 — плотность жидкости в манометре. С другой стороны, согласно уравнению Бернулли, разность полного и статического давлений равна динамическому давлению:
(30.9)

Рис. 49
Из формул (30.8) и (30.9) получаем искомую скорость потока жидкости:

Уменьшение статического давления в точках, где скорость потока больше, положено в основу работы водоструйного насоса (рис. 50). Струя воды подается в трубку, открытую в атмосферу, так что давление на выходе из трубки равно атмосферному. В трубке имеется сужение, по которому вода течет с большей скоростью. В этом месте давление меньше атмосферного. Это давление устанавливается и в откачанном сосуде, который связан с трубкой через разрыв, имеющийся в ее узкой части. Воздух увлекается вытекающей с большой скоростью водой из узкого конца. Таким образом можно откачивать воздух из сосуда до давления 100 мм рт. ст. (1 мм рт. ст. = 133,32 Па).

Рис. 50
Уравнение Бернулли используется для нахождения скорости истечения жидкости через отверстие в стенке или дне сосуда. Рассмотрим цилиндрический сосуд с жидкостью, в боковой стенке которого на некоторой глубине ниже уровня жидкости имеется маленькое отверстие (рис. 51).

Рис. 51
Рассмотрим два сечения (на уровне ai свободной поверхности жидкости в сосуде и на уровне А2 выхода ее из отверстия) и напишем уравнение Бернулли:

Так как давления р1 и p2в жидкости на уровнях первого и второго сечений равны атмосферному, т. е. р1 = р2, то уравнение будет иметь вид

Из уравнения неразрывности (29.1) следует, что v2/v1 = S1/S2, где S1 и S2— площади поперечных сечений сосуда и отверстия. Если S1 >> S2,то членом v21/2можно пренебречь и

Это выражение получило название формулы Торричелли*.