1. Одновременность событий в разных системах отсчета. Пусть в системе К в точках с координатами х1и х2в моменты времени t1и t2 происходят два события. В системе К' им соответствуют координаты х¢1 и х'2и моменты времени t'1, и t¢2. Если события в системе К происходят в одной точке (x1 = x2) и являются одновременными (t1 = t2), то, согласно преобразованиям Лоренца (36.3),

т. е. эти события являются одновременными и пространственно совпадающими для любой инерциальной системы отсчета.
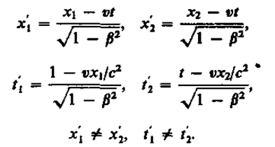
Если события в системе К пространственно разобщены (х1 ¹ x2), но одновременны (t1 = t2), то в системе К', согласно преобразованиям Лоренца (36.3),

Таким образом, в системе К' эти события, оставаясь пространственно разобщенными, оказываются и неодновременными. Знак разности t¢2 – t¢1определяется знаком выражения v(x1 —x2),поэтому в различных точках системы отсчета К' (при разных v) разность t¢2 – t¢1будет различной по величине и может отличаться по знаку. Следовательно, в одних системах отсчета первое событие может предшествовать второму, в то время как в других системах отсчета, наоборот, второе событие предшествует первому. Сказанное, однако, не относится к причинно-следственным событиям, так как можно показать, что порядок следования причинно-следственных событий одинаков во всех инерциальных системах отсчета.
|
|
|
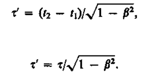
2. Длительность событий в разных системах отсчета. Пусть в некоторой точке (с координатой х), покоящейся относительно системы К, происходит событие, длительность которого (разность показаний часов в конце и начале события) t = t2 – t1, где индексы 1 и 2 соответствуют началу и концу события. Длительность этого же события в системе К'
(37.1)
причем началу и концу события, согласно (36.3), соответствуют
(37.2)
Подставляя (37.2) в (37.1), получаем
(37.3)
Из соотношения (37.3) вытекает, что t < t¢, т. е. длительность события, происходящего в некоторой точке, наименьшая в той инерциальной системе отсчета, относительно которой эта точка неподвижна. Этот результат может быть еще истолкован следующим образом: интервал времени t¢, отсчитанный по часам в системе К', с точки зрения наблюдателя в системе К, продолжительнее интервала t, отсчитанного по его часам. Следовательно, часы, движущиеся относительно инерциальной системы отсчета, идут медленнее покоящихся часов, т. е. ход часов замедляется в системе отсчета, относительно которой часы движутся. На основании относительности понятий «неподвижная» и «движущаяся» системы соотношения для t и t' обратимы. Из (37.3) следует, что замедление хода часов становится заметным лишь при скоростях, близких к скорости распространения света в вакууме.
|
|
|
В связи с обнаружением релятивистского эффекта замедления хода часов в свое время возникла проблема «парадокса часов» (иногда рассматривается как «парадокс близнецов»), вызвавшая многочисленные дискуссии. Представим себе, что осуществляется фантастический космический полет к звезде, находящейся на расстоянии 500 световых лет (расстояние, на которое свет от звезды до Земли доходит за 500 лет), со скоростью, близкой к скорости света (
). По земным часам полет до звезды и обратно продлится 1000 лет, в то время как для системы корабля и космонавта в нем такое же путешествие займет всего 1 год. Таким образом, космонавт возвратится на Землю в
раз более молодым, чем его брат-близнец, оставшийся на Земле. Это явление, получившее название парадокса близнецов, в действительности парадокса не содержит. Дело в том, что принцип относительности утверждает равноправность не всяких систем отсчета, а только инерциальных. Неправильность рассуждения состоит в том, что системы отсчета, связанные с близнецами, не эквивалентны: земная система инерциальна, а корабельная — неинерциальна, поэтому к ним принцип относительности неприменим.
Релятивистский эффект замедления хода часов является совершенно реальным в получил экспериментальное подтверждение при изучении нестабильных, самопроизвольно распадающихся элементарных частиц в опытах с p-мезонами. Среднее время жизни покоящихся p-мезонов (по часам, движущимся вместе с ними) t» 2,2×10-8 с. Следовательно, p-мезоны, образующиеся в верхних слоях атмосферы (на высоте» 30 км) и движущиеся со скоростью, близкой к скорости с, должны были бы проходить расстояния сt»6,6м, т. е. не могли бы достигать земной поверхности, что противоречит действительности. Объясняется это релятивистским эффектом замедления хода времени: для земного наблюдателя срок жизни p-мезона
, а путь этих частиц в атмосфере
.Так как b»1, то vt' ≫ сt.
3. Длина тел в разных системах отсчета. Рассмотрим стержень, расположенный вдоль оси x¢ и покоящийся относительно системы К'. Длина стержня в системе К' будет l¢ 0 = x¢1 - х'2 где х¢1 и х'2— не изменяющиеся со временем t' координаты начала и конца стержня, а индекс 0 показывает, что в системе отсчета К' стержень покоится. Определим длину этого стержня в системе К, относительно которой он движется со скоростью V. Для этого необходимо измерить координаты его концов х1и х2 в системе К в один и тот же момент времени t. Их разность l = x2 – x1и определяет длину стержня в системе К. Используя преобразования Лоренца (36.3), получим
(37.4)
Таким образом, длина стержня, измеренная в системе, относительно которой он движется, оказывается меньше длины, измеренной в системе, относительно которой стержень покоится. Если стержень покоится в системе К, то, определяя его длину в системе К', опять-таки придем к выражению (37.4).
Из выражения (37.4) следует, что линейный размер тела, движущегося относительно инерциальной системы отсчета, уменьшается в направлении движения в раз, т. е. так называемое лоренцево сокращение длины тем больше, чем больше скорость движения. Из второго и третьего уравнений преобразований Лоренца (36.3) следует, что

т. е. поперечные размеры тела не зависят от скорости его движения и одинаковы во всех инерциальных системах отсчета. Таким образом, линейные размеры тела наибольшие в той инерциальной системе отсчета, относительно которой тело покоится.
4. Релятивистский закон сложения скоростей. Рассмотрим движение материальной точки в системе К', в свою очередь движущейся относительно системы К со скоростью v. Определим скорость этой же точки в системе К. Если в системе К движение точки в каждый момент времени / определяется координатами х, у, z, а в системе К' в момент времени t' — координатами х', у', z', то
|
|
|

представляют собой соответственно проекции на оси х, у, z и х', у', z' вектора скорости рассматриваемой точки относительно систем К и К'. Согласно преобразованиям Лоренца (36.3),

Произведя соответствующие преобразования, получаем релятивистский закон сложения скоростей специальной теории относительности:
(37.5)
Если материальная точка движется параллельно оси х, то скорость и относительно системы К совпадает с их, а скорость u' относительно К' — с и'х. Тогда закон сложения скоростей примет вид
(37.6)
Легко убедиться в том, что если скорости v, и' и и малы по сравнению со скоростью с, то формулы (37.5) и (37.6) переходят в закон сложения скоростей в классической механике (см. (34.4)). Таким образом, законы релятивистской механики в предельном случае дня малых скоростей (по сравнению со скоростью распространения света в вакууме) переходят в законы классической физики, которая, следовательно, является частным случаем механики Эйнштейна для малых скоростей.
Релятивистский закон сложения скоростей подчиняется второму постулату Эйнштейна (см. § 35). Действительно, если u¢ = c, то формула (37.6) примет вид
(аналогично можно показать, что при и = с скорость и' также равна с). Этот результат свидетельствует о том, что релятивистский закон сложения скоростей находится в согласии с постулатами Эйнштейна.
Докажем также, что если складываемые скорости сколь угодно близки к скорости с, то их результирующая скорость всегда меньше или равна с. В качестве примера рассмотрим предельный случай u¢ = v = c. После подстановки в формулу (37.6) получим u = с. Таким образом, при сложении любых скоростей результат не может превысить скорости света с в вакууме. Скорость света в вакууме есть предельная скорость, которую невозможно превысить. Скорость света в какой-либо среде, равная с/n (n — абсолютный показатель преломления среды), предельной величиной не является (подробнее см. § 189).







