При выводе основного уравнения молекулярно-кинетической теории молекулам зада вали различные скорости. В результате многократных соударений скорость каждой молекулы изменяется по модулю и направлению. Однако из-за хаотического движения молекул все направления движения являются равновероятными, т. е. в любом направлении в среднем движется одинаковое число молекул.
По молекулярно-кинетической теории, как бы ни изменялись скорости молекул при столкновениях, средняя квадратичная скорость молекул массой то в газе, находящемся в состоянии равновесия при Т = const, остается постоянной и равной
.
Это объясняется тем, что в газе, находящемся в состоянии равновесия, устанавливается некоторое стационарное, не меняющееся со временем распределение молекул по скоростям, которое подчиняется вполне определенному статистическому закону. Этот закон теоретически выведен Дж. Максвеллом.
При выводе закона распределения молекул по скоростям Максвелл предполагал, что газ состоит из очень большого числа N тождественных молекул, находящие» в состоянии беспорядочного теплового движения при одинаковой температуре. Предполагалось также, что силовые поля на газ не действуют.
|
|
|
Закон Максвелла описывается некоторой функцией f (v), называемой функцией распределения молекул по скоростям. Бели разбить диапазон скоростей молекул на малые интервалы, равные dv, то на каждый интервал скорости будет приходиться некоторое число молекул dN(v), имеющих скорость, заключенную в этом интервале Функция f (v) определяет относительное число молекул dN (v)/N, скорости которых лежат в интервале от v до v + dv, т. е.

откуда

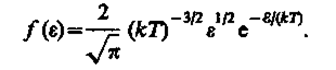
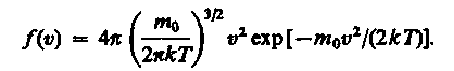
Применяя методы теории вероятностей, Максвелл нашел функцию /(v) — закон о распределении молекул идеального газа по скоростям:
(44.1)
Из (44.1) видно, что конкретный вид функции зависит от рода газа (от массы молекулы) и от параметра состояния (от температуры Т).
График функции (44.1) приведен на рис. 65. Так как при возрастании v множитель
уменьшается быстрее, чем растет множитель v2, то функция f (v), начинаясь от нуля, достигает максимума при v, и затем асимптотически стремится к нулю. Кривая несимметрична относительно vв.

Рис. 65
Относительное число молекул dN(v)/N, скорости которых лежат в интервале от v до v + dv, находится как площадь заштрихованной полоски на рис. 65. Площадь, ограниченная кривой распределения и осью абсцисс, равна единице. Это означает, что функция f (v) удовлетворяет условию нормировки

Скорость, при которой функция распределения молекул идеального газа по скоростям максимальна, называется наиболее вероятной скоростью. Значение наиболее вероятной скорости можно найти продифференцировав выражение (44.1) (постоянные множители опускаем) по аргументу v, приравняв результат нулю и используя условие для максимума выражения f (v):
|
|
|

Значения v = 0 и v = ¥ соответствуют минимумам выражения (44.1), а значение v, при котором выражение в скобках становится равным нулю, и есть искомая наиболее вероятная скорость v b:
(44.2)
Из формулы (44.2) следует, что при повышении температуры максимум функции распределения молекул по скоростям (рис. 66) сместится вправо (значение наиболее вероятной скорости становится больше). Однако площадь, ограниченная кривой, остается неизменной, поэтому при повышении температуры кривая распределения молекул по скоростям будет растягиваться и понижаться.
Средняя скорость молекулы <v> (средняя арифметическая скорость) определяется по формуле

Подставляя сюда f (v) и интегрируя, получаем
(44.3)
Скорости, характеризующие состояние газа: 1) наиболее вероятная
2) средняя
3) средняя квадратичная
(рис. 65). Исходя из распределения молекул по скоростям
(44.4)
можно найти распределение молекул газа по значениям кинетической энергии e. Для этого перейдем от переменной v к переменной e = m0v2/2. Подставив в (44.4)
и
, получим

где dN(e) — число молекул, имеющих кинетическую энергию поступательного движения, заключенную в интервале от e до e + de.
Таким образом, функция распределения молекул по энергиям теплового движения

Средняя кинетическая энергия <e> молекулы идеального газа

т. е. получили результат, совпадающий с формулой (43.8).






