Как видно из § 93, для того чтобы проводник обладал большой емкостью, он должен иметь очень большие размеры. На практике, однако, необходимы устройства, обладающие способностью при малых размерах и небольших относительно окружающих тел потенциалах накапливать значительные по величине заряды, иными словами, обладать большой емкостью. Эти устройства получили название конденсаторов.
Если к заряженному проводнику приближать другие тела, то на них возникают индуцированные (на проводнике) или связанные (на диэлектрике) заряды, причем ближайшими к наводящему заряду Qбудут заряды противоположного знака. Эти заряды, естественно, ослабляют поле, создаваемое зарядом Q, т. е. понижают потенциал проводника, что приводит (см. (93.1)) к повышению его электроемкости.
Конденсатор состоит из двух проводников (обкладок), разделенных диэлектриком. На емкость конденсатора не должны оказывать влияния окружающие тела, поэтому проводникам придают такую форму, чтобы поле, создаваемое накапливаемыми зарядами, было сосредоточено в узком зазоре между обкладками конденсатора. Этому условию удовлетворяют (см. § 82): 1) две плоские пластины; 2) два коаксиальных цилиндра; 3) две концентрические сферы. Поэтому в зависимости от формы обкладок конденсаторы делятся на плоские, цилиндрические и сферические.
|
|
|
Так как поле сосредоточено внутри конденсатора, то линии напряженности начинаются на одной обкладке и кончаются на другой, поэтому свободные заряды, возникающие на разных обкладках, являются равными по модулю разноименными зарядами. Под емкостью конденсатора понимается физическая величина, равная отношению заряда Q, накопленного в конденсаторе, к разности потенциалов (j1 - j2)между его обкладками:
(94.1)
Рассчитаем емкость плоского конденсатора, состоящего из двух параллельных металлических пластин площадью Sкаждая, расположенных на расстоянии dдруг от друга и имеющих заряды +Q и —Q.Если расстояние между пластинами мало по сравнению с их линейными размерами, то краевыми эффектами можно пренебречь и поле между обкладками считать однородным. Его можно рассчитать используя формулы (86.1) и (94.1). При наличии диэлектрика между обкладками разность потенциалов между ними, согласно (86.1),
(94.2)
где e — диэлектрическая проницаемость. Тогда из формулы (94.1), заменяя Q= sSс учетом (94.2) получим выражение для емкости плоского конденсатора:
(94.3)
Для определения емкости цилиндрического конденсатора, состоящего из двух полых коаксиальных цилиндров срадиусами r1и r2 (r2 > r1), вставленных один в другой, опять пренебрегая краевыми эффектами, считаем поле радиально-симметричным и сосредоточенным между цилиндрическими обкладками. Разность потенциалов между обкладками вычислим по формуле (86.3) для поля равномерно заряженного бесконечного цилиндра с линейной плотностью r=Q/l(l— длина обкладок). При наличии диэлектрика между обкладками разность потенциалов
|
|
|
(94.4)
Подставив (94.4) в (94.1), получим выражение для емкости цилиндрического конденсатора:
(94.5)
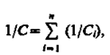
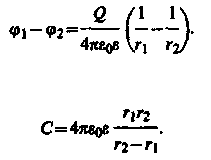
Для определения емкости сферического конденсатора, состоящего из двух концентрических обкладок, разделенных сферическим слоем диэлектрика, используем формулу (86.2) для разности потенциалов между двумя точками, лежащими на расстояниях r1и r2 (r2 > r1) от центра заряженной сферической поверхности. При наличии диэлектрика между обкладками разность потенциалов
(94.6) (94.7)
Если d = r2 – r1 ≪ r1 то r2» r1» r и C = 4pe0er2/d. Так как 4pr2—площадь сферической обкладки, то получаем формулу (94.3). Таким образом, при малой величине зазора по сравнению с радиусом сферы выражения для емкости сферического и плоского конденсаторов совпадают. Этот вывод справедлив и для цилиндрического конденсатора: при малом зазоре между цилиндрами по сравнению с их радиусами в формуле (94.5) ln (r2/r1) можно разложить в ряд, ограничиваясь только членом первого порядка. В результате опять приходим к формуле (94.3).
Из формул (94.3), (94.5) и (94.7) вытекает, что емкость конденсаторов любой формы прямо пропорциональна диэлектрической проницаемости диэлектрика, заполняющего пространство между обкладками. Поэтому применение в качестве прослойки сегнетоэлектриков значительно увеличивает емкость конденсаторов.
Конденсаторы характеризуются пробивным напряжением — разностью потенциалов между обкладками конденсатора, при которой происходит пробой — электрический разряд через слой диэлектрика в конденсаторе. Пробивное напряжение зависит от формы обкладок, свойств диэлектрика и его толщины.
Для увеличения емкости и варьирования ее возможных значений конденсаторы соединяют в батареи, при этом используется их параллельное и последовательное соединения.
1. Параллельное соединение конденсаторов (рис. 144).

Рис. 144
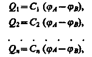
У параллельно соединенных конденсаторов разность потенциалов на обкладках конденсаторов одинакова и равна jA - jB.Если емкости отдельных конденсаторов С1, С2,..., Сn,то, согласно (94.1), их заряды равны

а заряд батареи конденсаторов

Полная емкость батареи

т. е. при параллельном соединении конденсаторов она равна сумме емкостей отдельных конденсаторов.
2. Последовательное соединение конденсаторов (рис. 145).

Рис. 145
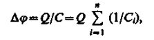
У последовательно соединенных конденсаторов заряды всех обкладок равны по модулю, а разность потенциалов на зажимах батареи

где для любого из рассматриваемых конденсаторов DjI = Q/Ci. С другой стороны,

откуда

т. е. при последовательном соединении конденсаторов суммируются величины, обратные емкостям. Таким образом, при последовательном соединении конденсаторов результирующая емкость Свсегда меньше наименьшей емкости, используемой в батарее.






