В электродинамике — разделе учения об электричестве, в котором рассматриваются явления и процессы, обусловленные движением электрических зарядов или макроскопических заряженных тел, — важнейшим понятием является понятие электрического тока. Электрическим током называется любое упорядоченное (направленное) движение электрических зарядов. В проводнике под действием приложенного электрического поля Е свободные электрические заряды перемещаются: положительные — по полю, отрицательные — против поля (рис. 146, а), т. е. в проводнике возникает электрический ток, называемый током проводимости. Если же упорядоченное движение электрических зарядов осуществляется перемещением в пространстве заряженного макроскопического тела (рис. 146, б), то возникает так называемый конвекционный ток.

Рис. 146
Для возникновения и существования электрического тока необходимо, с одной стороны, наличие свободных носителей тока — заряженных частиц, способных перемещаться упорядоченно, а с другой — наличие электрического поля, энергия которого, каким-то образом восполняясь, расходовалась бы на их упорядоченное движение. За направление тока условно принимают направление движения положительных зарядов.
Количественной мерой электрического тока служит сила тока I— скалярная физическая величина, определяемая электрическим зарядом, проходящим через поперечное сечение проводника в единицу времени:

Если сила тока и его направление не изменяются со временем, то такой ток называется постоянным. Для постоянного тока

где Q — электрический заряд, проходящий за время t через поперечное сечение провод ника. Единица силы тока — ампер (А).
Физическая величина, определяемая силой тока, проходящего через единицу площади поперечного сечения проводника, перпендикулярного направлению тока, называется плотностью тока:

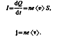
Выразим силу и плотность тока через скорость ‹v› упорядоченного движения зарядов в проводнике. Если концентрация носителей тока равна n и каждый носитель имеет элементарный заряд е (что не обязательно для ионов), то за время Dtчерез поперечное сечение S проводника переносится заряд
DQ=neávñSdt. Сила тока
(96.1)
Плотность тока — вектор, ориентированный по направлению тока, т. е. направление вектора j совпадает с направлением упорядоченного движения положительных зарядов. Единица плотности тока — ампер на метр в квадрате (А/м2).
Сила тока сквозь произвольную поверхность S определяется как поток вектора J, т. е.
(96.2)
где dS = ndS (n — единичный вектор нормали к площадке dS, составляющей с век тором j угол a).






