Раздел оптики, в котором законы распространения света рассматриваются на основе представления о световых лучах, называется геометрической оптикой. Под световыми лучами понимают нормальные к волновым поверхностям линии, вдоль которых распространяется поток световой энергии. Геометрическая оптика, оставаясь приближенным методом построения изображений в оптических системах, позволяет разобрать основные явления, связанные с прохождением через них света, и является поэтому основой теории оптических приборов.
Линзы представляют собой прозрачные тела, ограниченные двумя поверхностями (одна из них обычно сферическая, иногда цилиндрическая, а вторая — сферическая или плоская), преломляющими световые лучи, способные формировать оптические изображения предметов. Материалом для линз служат стекло, кварц, кристаллы, пластмассы и т. п. По внешней форме (рис. 232) линзы делятся на: 1) двояковыпуклые; 2) плосковыпуклые; 3) двояковогнутые; 4) плосковогнутые; 5) выпукло-вогнутые; 6) вогнуто-выпуклые. По оптическим свойствам линзы делятся на собирающие и рассеивающие.
|
|
|

Рис. 232
Линза называется тонкой, если ее толщина (расстояние между ограничивающими поверхностями) значительно меньше по сравнению с радиусами поверхностей, ограничивающих линзу. Прямая, проходящая через центры кривизны поверхностей линзы, называется главной оптической осью. Для всякой линзы существует точка, называемая оптическим центром линзы, лежащая на главной оптической оси и обладающая тем свойством, что лучи проходят сквозь нее не преломляясь. Оптический центр Олинзы для простоты будем считать совпадающим с геометрическим центром средней части линзы (это справедливо только для двояковыпуклой и двояковогнутой линз с одинаковыми радиусами кривизны обеих поверхностей; для плосковыпуклых и плосковогнутых линз оптический центр Олежит на пересечении главной оптической оси со сферической поверхностью).
Для вывода формулы тонкой линзы — соотношения, связывающего радиусы кривизны R1 и R2поверхностей линзы с расстояниями а и b от линзы до предмета и его изображения, — воспользуемся принципом Ферма*, или принципом наименьшего времени: действительный путь распространения света (траектория светового луча) есть путь, для прохождения которого свету требуется минимальное время по сравнению с любым другим мыслимым путем между теми же точками.
Рассмотрим два световых луча (рис. 233) — луч, соединяющий точки А и В (луч ЛОВ), и луч, проходящий через край линзы (луч АСВ), — воспользовавшись условием равенства времени прохождения света вдоль АО В и АСВ. Время прохождения света вдоль АОВ
|
|
|

где N = n/n1— относительный показатель преломления (n и n1— соответственно абсолютные показатели преломления линзы и окружающей среды). Время прохождения света вдоль АСВ равно

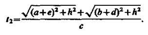
Так как t1 = t2, то
(166.1)

Рис. 233
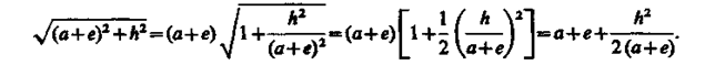
Рассмотрим параксиальные (приосевые) лучи, т. е. лучи, образующие с оптической осью малые углы. Только при использовании параксиальных лучей получается стигматическое изображение, т. е. все лучи параксиального пучка, исходящего из точки А, пересекают оптическую ось в одной и той же точке В. Тогда h ≪ (a+e), h ≪ (b+d ) и

Аналогично,

Подставив найденные выражения в (166.1), получим
(166.2)
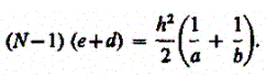
Для тонкой линзы е ≪ а и d ≪ b, поэтому (166.2) можно представить в виде

Учитывая, что

и соответственно d = h2/ (2 R 1), получим
(166.3)
Выражение (166.3) представляет собой формулу тонкой линзы. Радиус кривизны выпуклой поверхности линзы считается положительным, вогнутой — отрицательным. Если a = ¥, т. е. лучи падают на линзу параллельным пучком (рис. 234, а), то


Рис. 234
Соответствующее этому случаю расстояние b = OF = f называется фокусным расстоянием линзы, определяемым по формуле

Оно зависит от относительного показателя преломления и радиусов кривизны.
Если b = ¥, т. е. изображение находится в бесконечности и, следовательно, лучи выходят из линзы параллельным пучком (рис. 234, 6), то a = OF = f. Таким образом, фокусные расстояния линзы, окруженной с обеих сторон одинаковой средой, равны. Точки F, лежащие по обе стороны линзы на расстоянии, равном фокусному, называются фокусами линзы. Фокус — это точка, в которой после преломления собираются все лучи, падающие на линзу параллельно главной оптической оси.
Величина
(166.4)
называется оптической силой линзы. Ее единица — диоптрия (дптр). Диоптрия — оптическая сила линзы с фокусным расстоянием 1 м: 1 дптр= 1/м.
Линзы с положительной оптической силой являются собирающими, с отрицательной — рассеивающими. Плоскости, проходящие через фокусы линзы перпендикулярно ее главной оптической оси, называются фокальными плоскостями. В отличие от собирающей рассеивающая линза имеет мнимые фокусы. В мнимом фокусе сходятся (после преломления) воображаемые продолжения лучей, падающих на рассеивающую линзу параллельно главной оптической оси (рис. 235).

Рис. 235
Учитывая (166.4), формулу линзы (166.3) можно записать в виде

Для рассеивающей линзы расстояния/и b надо считать отрицательными.
Построение изображения предмета в линзах осуществляется с помощью следующих лучей:
1) луча, проходящего через оптический центр линзы и не изменяющего своего направления;
2) луча, идущего параллельно главной оптической оси; после преломления в линзе этот луч (или его продолжение) проходит через второй фокус линзы;
3) луча (или его продолжения), проходящего через первый фокус линзы; после преломления в ней он выходит из линзы параллельно ее главной оптической оси.
Для примера приведены построения изображений в собирающей (рис. 236) и в рассеивающей (рис. 237) линзах: действительное (рис. 236, а) и мнимое (рис. 236, б) изображения — в собирающей линзе, мнимое — в рассеивающей.

Рис. 236

Рис. 237
Отношение линейных размеров изображения и предмета называется линейным увеличением линзы. Отрицательным значениям линейного увеличения соответствует действительное изображение (оно перевернутое), положительным — мнимое изображение (оно прямое). Комбинации собирающих и рассеивающих линз применяются в оптических приборах, используемых для решения различных научных и технических задач.






