1. Физические законы механики
Средняя скорость

Мгновенная скорость

Среднее ускорение

Мгновенное ускорение

Тангенциальная составляющая
ускорения

Нормальная составляющая ускорения

Полное ускорение

Кинематические уравнения
равнопеременного
поступательного движения

Угловая скорость

Угловое ускорение

Кинематические уравнения
равнопеременного вращательного
движения

Связь между линейными и
угловыми вели чинами при
вращательном движении

Импульс (количество движения)

Второй закон Ньютона

Сила трения скольжения

Закон сохранения импульса
(для замкнутой системы)

Работа переменной силы на участке траектории 1—2

Мгновенная мощность

Кинетическая энергия

Потенциальная энергия тела, поднятого
над поверхностью Земли,

Потенциальная энергия
упругодеформированного тела

Полная механическая энергия системы

Закон сохранения механической
энергии (для консервативной системы)

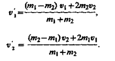
Скорость шаров массами m1 и m2 после
|
|
|
абсолютно упругого центрального удара

Скорость шаров после абсолютного
неупругого удара

Момент инерции системы (тела)

Моменты инерции полого и сплошного
цилиндров (или диска) относительно
оси симметрии

Момент инерции шара относительно
оси, проходящей через центр шара,

Момент инерции тонкого стержня
относительно оси, перпендикулярной
стержню и проходящей через его середину,

Момент инерции тонкого стержня
относительно оси, перпендикулярной
стержню и про ходящей через его конец,

Теорема Штейнера

Кинетическая энергия вращающегося
телa относительно неподвижной оси

Момент силы относительно
неподвижной точки

Момент силы относительно
иеподвижной оси

Момент импульса материальной
точки относительно неподвижной точки

Момент импульса твердого тела
относительно неподвижной оси

Уравнение динамики вращательного
движения твердого тела

Закон сохранения момента импульса
замкнутой системы)

Закон всемирного тяготения

Сила тяжести

Напряженность поля тяготения

Потенциал поля тяготения

Взаимосвязь между потенциалом поля
тяготения и его напряженностью

Уравнение неразрывности
для несжимаемой жидкости

Уравнение Бернулли

Релятивистское замедление хода часов

Релятивистское (лоренцево)
сокращение длины стержня

Релятивистский закон сложения
скоростей

Масса релятивистской частицы

Закон взаимосвязи массы и энергии

Релятивистский импульс

Связь между полной энергией и
импульсом релятивистской частицы

2.Основы молекулярной
физики и термодинамики
|
|
|
Закон Бойля — Мариотта

Законы Гей-Люссака

Закон Дальтона

Уравнение Клапейрона — Менделеева
для произвольной массы газа

Основное уравнение молекулярно-
кинетической теории идеального газа

Средняя квадратичная скорость молекулы

Средняя арифметическая скорость
молекулы

Наиболее вероятная скорость молекулы

Барометрическая формула

Средняя длина свободного пробега молекул за 1 с

Среднее число столкновений молекулы

Закон теплопроводности Фурье

Теплопроводность (коэффициент)

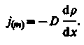
Закон диффузии Фика

Диффузия (коэффициент)

Закон Ньютона для внутреннего
трения (вязкости)

Динамическая вязкость

Средняя энергия молекулы

Внутренняя энергия произвольной
массы газа

Первое начало термодинамики

Молярная теплоемкость газа при
постоянном объеме

Молярная теплоемкость газа при
постоянном давлении

Работа газа при изменении его объема

Работа газа при изобарном расширении

Работа газа при изотермическом
расширении

Уравнения адиабатического процесса
(уравнение Пуассона)

Работа газа при адиабатическом расширении

Термический коэффициент полезного
действия для кругового процесса

Термический коэффициент полезного
действия цикла Карно

Уравнение Ван-дер-Ваальса для моля
реального газа

3.Электричество и
электромагнетизм
Закон Кулона

Напряженность электростатического поля

Поток вектора напряженности
электростатического поля сквозь
замкнутую поверхность S

Принцип суперпозиции

Электрический момент диполя

Теорема Гаусса для электростатического
поля в вакууме

Объемная, поверхностная и линейная
плотности заряда

Напряженность поля, создаваемого
равномерно заряженной бесконечной
плоскостью,

Напряженность поля, создаваемого
двумя бесконечными параллельными
разноименно за ряженными плоскостями,

Напряженность поля, создаваемого
равномерно заряженной сферической
поверхностью,

Напряженность поля, создаваемого
объемно заряженным шаром,

Напряженность поля, создаваемого
равномерно заряженным бесконечным
цилиндром,

Циркуляция вектора напряженности
электростатического поля вдоль
замкнутого контура L

Потенциал электростатического поля

Связь между потенциалом
электростатического поля и
его напряженностью

Поляризованность

Связь между векторами Р и Е

Связь между диэлектрической
проницаемостью среды в и диэлектрической
восприимчивостью вещества я

Связь между векторами электрического
смещения и напряженностью
электростатического поля

Теорема Гаусса для электростатического
поля в диэлектрике

Энергия уединенного
проводника

Электрическая емкость шара

Электрическая емкость плоского
конденсатора

Электрическая емкость
цилиндрического конденсатора

Электрическая емкость сферического
конденсатора

Электрическая емкость параллельно
соединенных конденсаторов

Электрическая емкость параллельно
соединенных конденсаторов

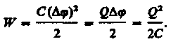
Энергия заряженного уединенного
проводника

Энергия заряженного конденсатора

Объемная плотность энергии
электростатического поля

Сила тока

Плотность тока

Электродвижущая сила,
действующая в цепи

Закон Ома для однородного участка цепи

Закон Ома в дифференциальной форме

Мощность тока

Закон Джоуля — Ленца

Закон Джоуля — Ленца в
дифференциальной форме

Закон Ома для неоднородного участка
цепи (обобщенный закон Ома)

Правила Кирхгофа

Коэффициент вторичной электронной
эмиссии

Магнитный момент рамки с током

Вращательный момент, действующий
на рамку с током в магнитном поле,

Связь между индукцией и
|
|
|
напряженностью магнитного поля

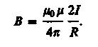
Закон Био — Савара — Лапласа
для элемента проводника с током

Магнитная индукция поля прямого тока

Магнитная индукция поля в центре
кругового проводника с током

Закон Ампера

Магнитное поле свободно
движущегося заряда

Сила Лоренца

Холловская поперечная
разность потенциалов

Закон полного тока для магнитного
поля в вакууме (теорема о
циркуляции вектора В)

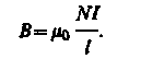
Магнитная индукция поля внутри
соленоида (в вакууме), имеющего
N витков,

Поток вектора магнитной индукции
(магнитный поток) сквозь
произвольную поверхность

Теорема Гаусса для поля с магнитной
индукцией В

Работа по перемещению проводника
с током в магнитном поле

Работа по перемещению замкнутого
контура, с током в магнитном поле

Закон Фарадея

Э. д. с. самоиндукции
Плотность тока смещения

Индуктивность бесконечно длинного
соленоида, имеющего N витков,

Ток при размыкании цени

Ток при замыкан ии цепи

Энергия магнитного поля,
связанного с контуром,

Объемная плотность энергии
магнитного поля

Намагниченность

Связь между векторами J и Н

Связь между магнитной проницаемостью
среды mи магнитной восприимчивостью
вещества c

Закон полного тока для магнитного поля
в веществе (теорема о циркуляции вектора В)

Теорема о циркуляции вектора Н

Плотность тока смещения

Полная система уравнений Максвелла:
в интегральной форме

в дифференциальной форме

4. Колебания и волны
Уравнение гармонического колебания

Дифференциальное уравнение
свободных гармонических колебаний
величины s

Период колебаний физического маятника

Период колебаний математического
маятника

Формула Томсона

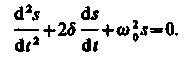
Дифференциальное уравнение
свободных затухающих колебаний
величины s

Логарифмический декремент затухания

Дифференциальное уравнение
вынужденных колебаний величины s

Реактивное индуктивное сопротивление

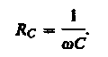
Реактивное емкостное сопротивление

Полное сопротивление цепи

Длина волны
|
|
|

Уравнение плоской волны

Уравнение сферической волны

Фазовая скорость

Волновое уравнение

Групповая скорость

Уравнение стоячей волны

Эффект Доплера в акустике

Вектор Умова — Пойнтинга

Скорость распространения
электромагнитных волн в среде

5. Оптика. Квантовая природа
излучения
Закон отражения света

Закон преломления света

Формула тонкой линзы

Поток излучения

Энергетическая светимость

Энергетическая сила света

Энергетическая яркость

Показатель преломления среды

Оптическая длина пути

Оптическая разность хода

Условие интерференционных максимумов

Условие интерференционных минимумов

Оптическая разность хода в тонких
пленках в отраженном свете

Радиусы зон Френеля

Условие дифракционных максимумов
от одной щели

Условие дифракционных минимумов от
одной щели

Условие главных максимумов
дифракционной решетки

Условие дополнительных минимумов
дифракционной решетки

Формула Вульфа — Брэггов

Разрешающая способность спектрального
прибора

Разрешающая способность
дифракционной решетки

Закон Бугера

Продольный эффект Доплера

Поперечный эффект Доплера

Степень поляризации

Закон Малюса

Закон Брюстера

Оптическая разность хода в
эффекте Керра

Угол вращения плоскости
поляризации в кристаллах

Угол вращения плоскости
поляризации в растворах

Закон Кирхгофа для теплового излучения

Энергетическая светимость черного тела

Закон Стефана — Больцмана

Закон смешения Вина

Формула Рэлея — Джинса

Формула Планка

Уравнение Эйнштейна для внешнего фото эффекта

Энергия фотона

Масса фотона

Импульс фотона

Давление света при его нормальном
падении на поверхность

Изменение длины волны при эффекте
Комптона

б. Элементы квантовой физики
атомов, молекул и твердых тел
Обобщенная формула Бальмера

Первый постулат Бора

Второй постулат Бора (правило частот)

Энергия электрона в водородоподобном
атоме

Длина волны де Бройля

Соотношение неопределенностей

Вероятность нахождения частицы в
элементе объема dV

Условие нормировки вероятностей

Общее уравнение Шредингера

Уравнение Шредингера для
стационарных состояний

Волновая функция, описывающая
состояние частицы в одномерной
прямоугольной «потенциальной яме»
с бесконечно высокими «стенками»,

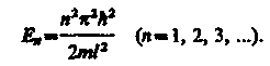
Собственные значения энергии частицы
в «потенциальной яме» с бесконечно
высокими «стенками»

Коэффициент прозрачности прямоугольного
потенциального барьера

Энергия квантового осциллятора

Уравнение Шредингера для электрона в атоме
Водорода

Нормированная волновая функция,
отвечающая 1s-состоянию электрона в атоме водорода,

Закон Мозли

Распределение Бозе — Эйнштейна

Распределение Ферми — Дирака

Уровень Ферми в собственном
полупроводнике

Удельная проводимость собственных
полупроводников

Правило Стокса для люминесцентного
из лучения

7. Элементы физики атомного
ядра и элементарных частиц
Радиус ядра

Энергия связи нуклонов в ядре

Дефект массы ядра

Магнетон Бора

Ядерный магнетон

Закон радиоактивного распада

Период полураспада

Среднее время жизни
радиоактивного ядра

Активность нуклида

Правило смещения для a-распада

Правило смещения для b--распада

Правило смещения для b+-распада

Символическая запись ядерной реакции

СОДЕРЖАНИЕ
ПРЕДИСЛОВИЕ.. 3
ВВЕДЕНИЕ.. 4
Предмет физики и ее связь с другими науками.. 4
Единицы физических величин.. 5
ФИЗИЧЕСКИЕ ОСНОВЫ МЕХАНИКИ 7
Глава 1 7 Элементы кинематики.. 7
§ 1. Модели в механике. Система отсчета. 7 Траектория, длина пути, вектор перемещения. 7
§ 2. Скорость. 10
§ 3. Ускорение и его составляющие. 11
§ 4. Угловая скорость и угловое ускорение. 14
Задачи.. 17
Глава 2 Динамика материальной точки и поступательного движения твердого тела 18
§ 5. Первый закон Ньютона. Масса. Сила.. 18
§ 6. Второй закон Ньютона.. 19
§ 7. Третий закон Ньютона.. 21
§ 8. Силы трения. 21
§ 9. Закон сохранения импульса. Центр масс. 23
§ 10. Уравнение движения тела переменной массы.. 26
Задачи.. 27
Глава 3 Работа и энергия.. 29
§11. Энергия, работа, мощность. 29
§ 12. Кинетическая и потенциальная энергии.. 31
§ 13. Закон сохранения энергии.. 34
§ 14. Графическое представление энергии.. 36
§ 15. Удар абсолютно упругих и неупругих тел. 39
Задачи.. 44
Глава 4 Механика твердого тела.. 45
§ 16. Момент инерции.. 45
§ 17. Кинетическая энергия вращения. 46
§ 18. Момент силы. Уравнение динамики вращательного движения твердого тела.. 48
§ 19. Момент импульса и закон его сохранения. 50
§ 20. Свободныe оси. Гироскоп.. 53
§ 21. Деформации твердого тела.. 57
Задачи.. 59
Глава 5 Тяготение. Элементы теории поля.. 61
§ 22. Законы Кеплера. Закон всемирного тяготения. 61
§ 23. Сила тяжести и вес. Невесомость. 62
§ 24. Поле тяготения и его напряженность. 64
§ 25. Работа в поле тяготения. Потенциал поля тяготения. 65
§ 26. Космические скорости.. 67
§ 27. Неинерциальные системы отсчета. Силы инерции.. 68
Задачи.. 73
Глава 6 Элементы механики жидкостей.. 75
§ 28. Давление в жидкости и газе. 75
§ 29. Уравнение неразрывности.. 76
§ 30. Уравнение Бернулли и следствия из него.. 78
§ 31. Вязкость (внутреннее трение). Ламинарный и турбулентный режимы течения жидкостей.. 82
§ 32. Методы определения вязкости.. 84
§ 33. Движение тел в жидкостях и газах.. 86
Задачи.. 88
Глава 7 Элементы специальной (частной) теории относительности.. 90
§ 34. Преобразования Галилея. Механический принцип относительности.. 90
§ 35. Постулаты специальной (частной) теории относительности.. 92
§ 36. Преобразования Лоренца.. 93
§ 37. Следствия из преобразований Лоренца.. 95
§ 38. Интервал между событиями.. 100
§ 39. Основной закон релятивистской динамики материальной точки.. 101
§ 40. Закон взаимосвязи массы и энергии.. 103
Задачи.. 105
ОСНОВЫ МОЛЕКУЛЯРНОЙ ФИЗИКИ И ТЕРМОДИНАМИКИ
Глава 8 Молекулярно-кинетическая теория идеальных газов.. 107
§ 41. Статистический и термодинамический методы. Опытные законы идеального газа.. 107
§ 42. Уравнение Клапейрона — Менделеева.. 111
§ 43. Основное уравнение молекулярно-кинетической теории идеальных газов. 113
§ 44. Закон Максвелла о распределении молекул идеального газа по скоростям и энергиям
теплового движения. 116
§ 45. Барометрическая формула. Распределение Больцмана.. 118
§ 46. Среднее число столкновений и средняя длина свободного пробега молекул. 120
§ 47. Опытное обоснование молекулярно-кинетической теории.. 122
§ 48. Явления переноса в термодинамически неравновесных системах.. 124
§ 49. Вакуум и методы его получения. Свойства ультраразреженных газов. 126
Задачи.. 130
Глава 9 Основы термодинамики.. 131
§ 50. Число степеней свободы молекулы. Закон равномерного распределения энергии по степеням свободы молекул. 131
§ 51. Первое начало термодинамики.. 133
§ 52. Работа газа при изменении его объема.. 134
§ 53. Теплоемкость. 135
§ 54. Применение первого начала термодинамики к изопроцессам.. 138
§ 55. Адиабатический процесс. Политропный процесс. 140
§ 56. Круговой процесс (цикл). Обратимые и необратимые процессы.. 143
§ 57. Энтропия, ее статистическое толкование и связь с термодинамической вероятностью... 144
§ 58. Второе начало термодинамики.. 147
§ 59. Тепловые двигатели и холодильные машины. Цикл Карно и его к. п. д. для идеального газа.. 149
Задачи.. 153
Глава 10 Реальные газы, жидкости и твердые тела.. 155
§ 60. Силы и потенциальная энергия межмолекулярного взаимодействия. 155
§ 61. Уравнение Ван-дер-Ваальса.. 157
§ 62. Изотермы Ван-дер-Ваальса и их анализ. 158
§ 63. Внутренняя энергия реального газа.. 162
§ 64. Эффект Джоуля — Томсона.. 163
§ 65. Сжижение газов. 165
§ 66. Свойства жидкостей. Поверхностноe. 167
натяжение. 167
§ 67. Смачивание. 170
§ 68. Давление под искривленной поверхностью жидкости.. 172
§ 69. Капиллярныe явления. 173
§ 70. Твердыe тела. Моно- и поликристаллы.. 174
§ 71. Типы кристаллических твердых тел. 175
§ 72. Дефекты в кристаллах.. 182
§ 73. Теплоемкость твердых тел. 183
§ 74. Испарение, сублимация, плавление и кристаллизация. Аморфные тела.. 185
§75. Фазовые переходы I и II рода.. 187
§ 76. Диаграмма состояния. Тройная точка.. 188
Задачи.. 191
ЭЛЕКТРИЧЕСТВО И ЭЛЕКТРОМАГНЕТИЗМ
Глава 11 Электростатика.. 192
§ 77. Закон сохранения электрического заряда.. 192
§ 78. Закон Кулона.. 193
§ 79. Электростатическое поле. Напряженность электростатического поля. 194
§ 80. Принцип суперпозиции электростатических полей. Поле диполя. 197
§ 81. Теорема Гаусса для электростатического поля в вакууме. 199
§ 82. Применение теоремы Гаусса к расчету некоторых электростатических полей в вакууме. 202
§ 83. Циркуляция вектора напряженности электростатического поля. 206
§ 84. Потенциал электрического поля. 207
§ 85. Напряженность как градиент потенциала. Эквипотенциальные поверхности.. 210
§ 86. Вычисление разности потенциалов по напряженности поля. 211
§ 87. Типы диэлектриков. Поляризация диэлектриков. 213
§ 88. Поляризованность. Напряженность поля в диэлектрике. 215
§ 89. Электрическое смещение. Теорема Гаусса для электростатического поля в диэлектрике. 217
§ 90. Условия на границе раздела двух диэлектрических сред.. 218
§ 91. Сетнетоэлектрики.. 221
§ 92. Проводники в электростатическом поле. 223
§ 93. Электрическая емкость уединенного проводника.. 226
§ 94. Конденсаторы.. 227
§ 95. Энергия системы зарядов, уединенного проводника и конденсатора. Энергия электростатического поля 230
Задачи.. 233
Глава 12 Постоянный электрический ток.. 235
§ 96. Электрический ток, сила и плотность тока.. 235
§ 97. Сторонние силы. Электродвижущая сила и напряжение. 236
§ 98. Закон Ома. Сопротивление проводников. 238
§ 99. Работа и мощность тока. Закон Джоуля — Ленца.. 240
§ 100. Закон Ома для неоднородного участка цепи.. 242
§ 101. Правила Кирхгофа для разветвленных цепей.. 243
Задачи.. 247
Глава 13 Электрические токи в металлах, вакууме и газах.. 248
§ 102. Элементарная классическая теория электропроводности металлов. 248
§ 103. Вывод основных законов электрического тока в классической теории электропроводности металлов 250
§ 104. Работа выхода электронов из металла.. 252
§ 105. Эмиссионные явления и их применение. 254
§ 106. Ионизация газов. Несамостоятельный газовый разряд.. 258
§ 107. Самостоятельный газовый разряд и его типы.. 260
Задачи.. 266
Глава 14 Магнитное поле.. 267
§ 109. Магнитное поле и его характеристики.. 267
§ 110. Закон Био - Савара - Лапласа и его применение к расчету магнитного поля. 270
§ 111. Закон Ампера. Взаимодействие параллельных токов. 273
§ 112. Магнитная постоянная. Единицы магнитной индукции и напряженности магнитного поля. 275
§ 113. Магнитное поле движущегося заряда.. 276
§ 114. Действие магнитного поля на движущийся заряд.. 277
§ 115. Движение заряженных частиц в магнитном поле. 278
§ 116. Ускорители заряженных частиц.. 280
§ 117. Эффект Холла.. 282
§ 118. Циркуляция вектора В магнитного поля в вакууме. 283
§ 119. Магнитные поля соленоида и тороида.. 285
§ 120. Поток вектора магнитной индукции. Теорема Гаусса для поля В.. 287
§ 121. Работа по перемещению проводника и контура с током в магнитном поле. 288
Задачи.. 290
Глава 15 Электромагнитная индукция.. 293
§122. Явление электромагнитной индукции (опыты Фарадея) 293
§ 123. Закон Фарадея и его вывод из закона сохранения энергии.. 294
§ 124. Вращение рамки в магнитном поле. 296
§ 125. Вихревые токи (токи Фуко) 298
§ 126. Индуктивность контура. Самоиндукция. 299
§ 127. Токи при размыкании и замыкании цепи.. 301
§ 128. Взаимная индукция. 303
§ 129. Трансформаторы.. 305
§ 130. Энергия магнитного поля. 307
Задачи.. 308
Глава 16 Магнитные свойства вещества.. 310
§ 131. Магнитные моменты электронов и атомов. 310
§ 132. Диа- и парамагнетизм.. 312
§ 133. Намагниченность. Магнитное поле в веществе. 314
§ 134. Условия на границе раздeла двух магнетиков. 317
§ 135. Ферромагнетики и их свойства.. 319
§ 136. Природа ферромагнетизма.. 322
Задачи.. 324
Глава 17 Основы теории Максвелла для электромагнитного поля.. 325
§ 137. Вихревое электрическое поле. 325
§ 138. Ток смещения. 326
§ 139. Уравнения Максвелла для. 329
электромагнитного поля. 329
КОЛЕБАНИЯ И ВОЛНЫ
Глава 18 Механические и электромагнитные колебания.. 333
§ 140. Гармонические колебания и их характеристики.. 333
§ 141. Механические гармонические колебания. 336
§ 142. Гармонический осциллятор. Пружинный, физический и математический маятники.. 338
§ 143. Свободные гармонические колебания в колебательном контуре. 340
§ 144. Сложение гармонических колебаний одного направления и одинаковой частоты. Биения. 343
§ 145. Сложение взаимно перпендикулярных колебаний.. 346
§ 146. Дифференциальное уравнение свободных затухающих колебаний (механических и
электромагнитных) и его решение. 348
§ 147. Дифференциальное уравнение вынужденных колебаний (механических и электромагнитных) и его решение 353
§ 148. Амплитуда и фаза вынужденных колебаний (механических и электромагнитных).
Резонанс. 356
§ 149. Переменный ток. 359
§ 150. Резонанс напряжений.. 364
§ 151. Резонанс токов. 365
§ 152. Мощность, выделяемая в цепи переменного тока.. 367
Задачи.. 368
Глава 19 Упругие волны... 370
§ 153. Волновые процессы. Продольные и поперечные волны.. 370
§ 154. Уравнение бегущей волны. Фазовая скорость. Волновое уравнение. 371
§ 155. Принцип суперпозиции. Групповая скорость. 374
§ 156. Интерференция волн.. 375
§ 157. Стоячие волны.. 377
§ 158. Звуковые волны.. 379
§ 158. Эффект Доплера в акустике. 381
§ 160. Ультразвук и его применение. 383
Задачи.. 384
Глава 20 Электромагнитные волны... 385
§ 161. Экспериментальное получение электромагнитных волн.. 385
§ 182. Дифференциальное уравнение электромагнитной волны.. 387
§ 163. Энергия электромагнитных волн. Импульс электромагнитного поля. 389
§ 164. Излучение диполя. Применение электромагнитных волн.. 391
Задачи.. 393
ОПТИКА. КВАНТОВАЯ ПРИРОДА ИЗЛУЧЕНИЯ
Глава 21 Элементы геометрической и электронной оптики.. 394
§ 165. Основные законы оптики. Полноe отражение. 394
§ 166. Тонкие линзы. Изображение предметов с помощью линз. 397
§ 167. Аберрации (погрешности) оптических систем.. 403
§ 168. Основные фотометрические величины и их единицы.. 405
§ 169. Элементы электронной оптики.. 406
Задачи.. 409
Глава 22 Интерференция света.. 411
§ 170. Развитие представлений о природе света.. 411
§ 171. Когерентность и монохроматичность световых волн.. 415
§ 172. Интерференция света.. 416
§ 173. Методы наблюдения интерференции света.. 418
§ 174. Интерференции света в тонких пленках.. 421
§ 175. Применение интерференции света.. 426
Задачи.. 430
Глава 23 Дифракция света.. 431
§ 176. Принцип Гюйгенса — Френеля. 431
§ 177. Метод зон Френеля. Прямолинейноe распространение света.. 432
§ 178. Дифракция Френеля на круглом отверстии и диске. 435
§ 179. Дифракция Фраунгофера на одной щели.. 437
§ 180. Дифракция Фраунгофера на дифракционной решетке. 439
§ 181. Пространственная решетка. Рассеянии света.. 442
§ 182. Дифракция на пространственной решетке. Формула Вульфа — Брэггов. 443
§ 183. Разрешающая способность оптических приборов. 445
§ 184. Понятие о голографии.. 447
Задачи.. 450
Глава 24 Взаимодействие электромагнитных волн с веществом... 451
§ 185. Дисперсия света.. 451
§ 186. Электронная теория дисперсии света.. 453
§ 187. Поглощение (абсорбция) света.. 455
§ 188. Эффект Доплера.. 457
§ 189. Излучение Вавилова — Черенкова.. 459
Задачи.. 460
Глава 25 Поляризация света.. 461
§ 190. Естественный и поляризованный свет. 461
§ 191. Поляризация света при отражении и преломлении на границе двух диэлектриков. 464
§ 192. Двойное лучепреломление. 465
§ 193. Поляризационные призмы и поляроиды.. 469
§ 194. Анализ поляризованного света.. 471
§ 195. Искусственная оптическая анизотропия. 473
§ 196. Вращение плоскости поляризации.. 474
Задачи.. 476
Глава 26 Квантовая природа излучения.. 477
§ 197. Тепловое излучение и «го характеристики.. 477
§ 198. Закон Кирхгофа.. 479
§ 199. Законы Стефана — Больцмана и смещения Вина.. 480
§ 200. Формулы Рэлея — Джинса и Планка.. 481
§ 201. Оптическая пирометрия. Тепловые источники света.. 485
§ 202. Виды фотоэлектрического эффекта. Законы внешнего фотоэффекта.. 487
§ 203. Уравнение Эйнштейна для внешнего фотоэффекта. Экспериментальное подтверждение квантовых свойств света.. 490
§ 204. Применение фотоэффекта.. 493
§ 205. Масса и импульс фотона. Давление света.. 494
§ 206. Эффект Комптона и его элементарная теория. 496
§ 207. Единство корпускулярных и волновых.. 498
свойств электромагнитного излучения. 498
ЭЛЕМЕНТЫ КВАНТОВОЙ ФИЗИКИ АТОМОВ, МОЛЕКУЛ И ТВЕРДЫХ ТЕЛ
Глава 27 Теория атома водорода по Бору.. 501
§ 208. Модели атома Томсона и Резарфорда.. 501
§ 209. Линейчатый спектр атома водорода.. 503
§ 210. Постулаты Бора.. 504
§ 211. Опыты Франка и Герца.. 505
§ 212. Спектр атома водорода по Бору.. 507
Задачи.. 509
Глава 28 Элементы квантовой механики.. 511
§ 213. Корпускулярно-волновой дуализм свойств вещества.. 511
§ 214. Некоторые свойства волн де Бройля. 513
§ 215. Соотношение неопределенностей.. 514
§ 216. Волновая функция и ее статистический смысл. 517
§ 217. Общее уравнение Шредингера. Уравнение Шредингера для стационарных состояний.. 520
§ 218. Принцип причинности в квантовой механике. 523
§ 219. Движение свободной частицы.. 523
§ 220. Частица в одномерной прямоугольной «потенциальной яме» е бесконечно высокими «стенками» 524
§ 221. Прохождение частицы сквозь потенциальный барьер. Туннельный эффект. 528
§ 222. Линейный гармонический осциллятор в квантовой механике. 532
Задачи.. 534
Глава 29 Элементы современной физики атомов и молекул.. 536
§ 223. Атом водорода в квантовой механике. 536
§ 224. 1s-Состояние электрона в атоме водорода.. 541
§ 225. Спин электрона. Спиновое квантовое число.. 543
§ 226. Принцип неразличимости тождественных частиц. Фермионы и бозоны.. 544
§ 227. Принцип Паули. Распределение электронов в атоме по состояниям.. 545
§ 228. Периодическая система элементов Менделеева.. 547
§ 229. Рентгеновские спектры.. 550
§ 230. Молекулы: химические связи, понятие об энергетических уровнях.. 553
§ 231. Молекулярные спектры. Комбинационное рассеяние света.. 555
§ 232. Поглощение. Спонтанное и вынужденное излучения. 557
§ 233. Оптические квантовые генераторы (лазеры) 559
Задачи.. 563
Глава 30 Элементы квантовой статистики.. 564
§ 234. Квантовая статистика. Фазовое пространство. Функция распределения. 564
§ 235. Понятие о квантовой статистике Бозе — Эйнштейна и Ферми — Дирака.. 565
§ 236. Вырожденный электронный газ в металлах.. 567
§ 237. Понятие о квантовой теории теплоемкости. Фононы.. 569
§ 238. Выводы квантовой теории электропроводности металлов. 570
§ 239. Сверхпроводимость. Понятие об эффекте Джозефсона.. 572
Задачи.. 574
Глава 31 Элементы физики твердого тела.. 575
§ 240. Понятие о зонной теории твердых тел. 575
§ 241. Металлы, диэлектрики и полупроводники по зонной теории.. 577
§ 242. Собственная проводимость полупроводников. 578
§ 243. Примесная проводимость полупроводников. 583
§ 244. Фотопроводимость полупроводников. 587
§ 245. Люминесценция твердых тел. 588
§ 246. Контакт двух металлов по зонной теории.. 592
§ 247. Термоэлектрические явления и их применение. 594
§ 248. Выпрямление на контакте металл —полупроводник. 597
§ 249. Контакт электронного и дырочного полупроводников (р-п-переход) 599
§ 250. Полупроводниковые диоды и триоды (транзисторы) 603
Задачи.. 605
ЭЛЕМЕНТЫ ФИЗИКИ АТОМНОГО ЯДРА И ЭЛЕМЕНТАРНЫХ ЧАСТИЦ
Глава 32 Элементы физики атомного ядра.. 607
§ 251. Размер, состав и заряд атомного ядра. Массовое и зарядовое числа.. 607
§ 252. Дефект массы и энергия связи ядра.. 608
§ 253. Спин ядра и его магнитный момент. 610
§ 254. Ядерные силы. Модели ядра.. 611
§ 255. Радиоактивное излучение и его виды.. 613
§ 256. Закон радиоактивного распада. Правила смещения. 614
§ 257. Закономерности a-распада.. 617
§ 258. bˉ - Распад. Нейтрино.. 618
§ 259. Гамма-излучение и его свойства.. 621
§ 260. Резонансное поглощение g-излучения (эффект Мбссбауэра) 623
§ 261. Методы наблюдения и регистрации радиоактивных излучений и частиц.. 626
§ 262. Ядерные реакции и их основные типы.. 630
§ 263. Позитрон. b+-Распад. Электронный захват. 632
§ 264. Открытие нейтрона. Ядерные реакции под действием нейтронов. 634
§ 265. Реакция деления ядра.. 637
§ 266. Цепная реакция деления. 638
§ 267. Понятие о ядерной энергетикe. 640
§ 268. Реакция синтеза атомных ядер. Проблема управляемых термоядерных реакций.. 643
Задачи.. 646
Глава 33 Элементы физики элементарных частиц.. 647
§ 269. Космическое излучение. 647
§ 270. Мюоны и их свойства.. 649
§ 271. Мезоны и их свойства.. 650
§ 272. Типы взаимодействий элементарных частиц.. 651
§ 273. Частицы и античастицы.. 653
§ 274. Гипероны. Странность и четность элементарных частиц.. 656
§ 275. Классификация элементарных частиц. Кварки.. 658
Задачи.. 662
ЗАКЛЮЧЕНИЕ.. 664
ОСНОВНЫЕ ЗАКОНЫ И ФОРМУЛЫ... 665
Трофимова, Т. И.
Т70 Курс физики: Учеб. пособие для вузов/Т. И. Трофимова. — 7-е изд., стер.
— М: Высш. шк., 2003. — 541 с.: ил.
ISBN 5-06-003634-0
рс отвечает программе по физике для студентов инженерно-технических специаль ностей вузов Он состоит из семи частей, в которых излагаются физические основы механики, молекулярной физики и термодинамики, электричества и магнетизма, оптики, квантовой физики атомов, молекул и твердых тел, физики атомного ядра и элементарных частиц Рационально решен вопрос об объединении механических и электромагнитных колебаний Устанавливается логическая преемственность и связь между классической и со временной физикой Приведены контрольные вопросы и задачи для самостоятельного решения
Шестое издание вышло в 2000 г.
Для студентов инженерно-технических специальностей высших
учебных заведений.
УДК 53 ББК 22.3
Учебное издание
Трофимова Таисия Ивановна
КУРС ФИЗИКИ
Редактор Г. Н. Чернышева
Художественный редактор Ю. Э. Иванова
Художник В. А. Маслов
Технический редактор Л.А. Овчинникова
Корректор Г. И. Кострикова
Оператор С.Р. Луковенкова
Лицензия ИД № 06236 от 09.11.2001
Изд. № ФМ-217. Подписано в печать с готовы диапозитивов 21.08.2002.
Формат 70x100 '/,6- Бу Гарнитура «Литературная». Печать офсетная
Объем: 44,20 усл. печ. л., 44,20 усл. кр.-отт., 43,41 уч.-изд. л.
Тираж 20000 экз. Заказ № 2"
ФГУП «Издательство «Высшая школа»
127994, Москва, ГСП-4, Неглинная ул., 29/14
Тел. (095) 200-04-56
E-mail: info@v-shkola.ru https://www.v-shkola.ru
Отдел реализации. (095) 200-07-69, 200-59-3'
факс (095) 200-03-01 E-mail: sales@v-shkola.ru
Отдел «Книга-почтой» (095) 200-33-36
E-mail: bookpost@v-shkola.ru
Отпечатано с готовых диапозитивов
во ФГУП ИПК «Ульяновский Дом печати»
432980, г. Ульяновск, ул. Гончарова, 14
* Все данные приведены по биографическому справочнику Ю. А. Храмова «Физики» (М • Наука, 1983).
* У. Гамильтон (1805—1865) — ирландский математик и физик.
* С. Пуассон (1781—1840) — французский ученый.
** Т. Юнг (1773—1829) — английский ученый.
* Г. Кориолис (1792—1843) — французский физик и инженер.
* Б. Паскаль (1623—1662) — французский ученый.
* Э. Торричелли (1608—1647) — итальянский физик и математик.
* Дж. Стоке (1819—1903) — английский физик и математик.
** Ж. Пуазейль (1799—1868) — французский физиолог и физик.
* Х. Лоренц (1853—1928) — нидерландский физик-теоретик.
* Р. Бойль (1627—1691) — английский ученый; Э. Мариотт (1620—1684)—французский физик.
** Ж. Гей-Люссак (1778—1850) — французский ученый.
* А. Авогадро (1776—1856) — итальянский физик и химик.
** Дж. Дальтон (1766—1844) — английский химик и физик.
* И. Лошмидт (1821—1895) — австрийский химик и физик. 86
* Д. Дьюар (1842—1923) — английский химик и физик.
* В. Ф. Г. Нернст (1864—1941) — немецкий физик и химик.
* Термодинамическая система, которая может обмениваться теплотой с телами без изменения температуры.
* К. Линде (1842—1934) — немецкий физик и инженер.
* П. Лаплас (1749—1827) — французский ученый.
[1] Э. X. Ленц (1804—1865) — русский физик.
[2] Г. Кирхгоф (1824—1887) — немецкий физик.
[3] Ч. Уитстон (1802—1875) — английский физик.
[4] К. Рикке (1845—1915) — немецкий физик.
[5] Это явление получило в древности название огней святого Эльма.
* Э. Холл (1855—1938) — американский физик.
* В. И. де Гааз (1878—1960) — нидерландский физик.
* Л. Неель (род. 1904) — французский физик.
* Ж. Фурье (1768—1830) — французский ученый.
* Ж. Лиссажу (1822—1880) — французский физик.
* Х. Доплер (1803—1853) — австрийский физик, математик и астроном.
* П. Ферма (1601—-1665) — французский математик и физик.
* П. Бугер (1698—1758) — французский ученый.
* Э. Малюс (1775—1812) — французский физик.
* У. Николь (1768—1851) — шотландский ученый.
* Д. Керр (1824—1904) —шотландский физик.
* И. Ридберг (1854—1919) — шведский ученый, специалист в области спектроскопии.
* И. Штарк (1874—1957) — немецкий физик.
* Ш. Бозе (1894—1974) — индийский физик.
** Э. Ферми (1901—1954) — итальянский физик.
* Дж. Стоке (1819—1903) — английский физик и математик.
* Д. Нэттол (1890—1958) — английский физик; X. Гейгер (1882—1945) — немецкий физик.
* С. Грей (1666—1736) — английский физик.
** Р. Мёссбауэр (р. 1929) — немецкий физик.
* У. Крукс (1832—1919) — английский физик и химик.
* Э. Мюллер (1911—1977) — немецкий физик. 482
** Ч. Вильсон (1869—1959) — английский ф






