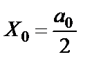
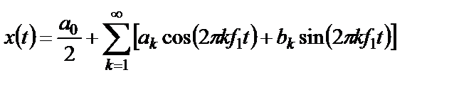
В большинстве своем полигармонические процессы могут быть представлены в виде ряда Фурье
, (1.6)
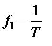
где
– основная частота;
, 
, 
Возможен и другой способ записи ряда Фурье для полигармонического процесса:
, (1.7)
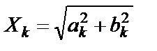
где
;
,
, 
Как видно из формулы (1.7), полигармонический процесс состоит из постоянной составляющей
и бесконечного числа синусоидальных компонент, называемых гармониками, с амплитудами
и начальными фазами
. Частоты всех гармоник кратны основной частоте
, т.е. соизмеримы.
Очевидно, что гармонический процесс является частным случаем полигармонического процесса при
.
На практике при анализе периодических процессов начальные фазы часто во внимание не принимаются. В этом случае формуле (1.7) соответствует дискретный спектр, представленный на рисунке 1.3.

Рисунок 1.3 – Спектр полигармонического процесса
Физические явления, которым соответствуют полигармонические процессы, встречаются гораздо чаще явлений, описываемых простой гармонической функцией.






