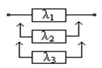
Рассмотрим случай, когда число подсистем m+1=3 (Рис.18). Исходные интенсивности отказов подсистем связаны соотношением λ1≥ λ2≥ λ3

Рис.18. Система со смешанным по нагрузке резервом.
Если на заданном временном интервале t:
откажет работающая подсистема, то интенсивность отказов резервных подсистем скачком изменяется:
и
,
а если откажет не основная, а резервная система с номером 2, то
.
если откажет подсистема 3, то изменение интенсивности отказов не происходит.
Вероятность безотказной работы за наработку t такой системы
(98)
где Р(Н0), Р(Н1), Р(Н2) – вероятности безотказных состояний системы за наработку t, при которой соответственно не отказала ни одна подсистема, или отказала одна из них, или отказали две подсистемы.
Вероятность того, что за наработку t не отказала ни одна система

Гипотеза Н1 (отказала одна подсистема)распадается на ряд других гипотез:

(Самостоятельно написать формулы)
Гипотеза Н2 распадается на ряд других гипотез:

После суммирования вероятностей благоприятных состояний системы (98) можно получить выражение для оценки вероятности безотказной работы системы с мажоритарным резервированием.
|
|
|






