Отклонители непрерывного действия (ОНД) – одни из основных инструментов управления кривизной скважины в современном направленном бурении.
ОНД бывают:
- с механическими распорными устройствами скользящего типа;
- c гидромеханическими распорными устройствами скользящего типа.
По механизму набора кривизны ОНД подразделяются на отклонители:
- асимметричного разрушения забоя («Кедр», ОНД-С);
- фрезерующего типа (ТЗ-3П-59, СБС-76,59,46 (ОБС), ОГМ-59,76);
- совместно асимметричного разрушения забоя и фрезерования стенки скважины (ТЗ-3-76, 59).
Забойный комплекс «Кедр» разработан в ЗабНИИ для искусственного искривления скважин диаметром 59 и 76 мм. Создан также вариант откло-нителя для искривления горизонтальных и восстающих скважин, который имеет маркировку «Кедр-ГБ» [15,16].
Комплекс обеспечивает:
- требуемую интенсивность искривления в диапазоне 0,2–1,5 град/м. При этом возможна предварительная настройка отклонителя на заданную интенсивность искривления перед спуском его в скважину;
- самоориентирование в скважине при зенитных углах 3–60 º (у отклонителя «Кедр-ГБ» этот диапазон расширен до 120 º), причем процесс ориентирования на заданный угол установки может повторяться многократно в течение одного рейса, время ориентирования 0,1 ч;
|
|
|
- контроль ориентирования на заданный угол установки отклонителя после окончания искривления и подъема из скважины;
- раскрепление в скважинах диаметром не менее 91 и 71 мм для откло-нителей с корпусом диаметром 73 и 57 мм соответственно;
- искривление скважины с отбором керна.
Комплекс «Кедр» содержит отклоняющее устройство с регулируемым углом перекоса, распорное устройство в виде выдвижного ползуна клинового типа, выполненного по схеме, аналогичной распорному устройству отклонителя ТЗ, ориентирующее устройство в виде винтового механизма со свободно устанавливающимся в апсидальной плоскости скважины шариком, контрольное устройство точности ориентирования в виде датчика апсидального угла шарикового типа.
Все устройство забойного комплекса «Кедр» (рис. 9.11, а) скомпоновано в три сборочные единицы: I–распорно-отклоняющий блок; II – ориентирующее-регистрационный блок; III – шлицевой узел.
|
| Р ос |
| Р ос |
| а б в |
| Рис. 9.11. Отклонитель «Кедр»: а - транспортное положение; б – постановка отклонителя на забой и создание осевой нагрузки (рабочее положение); в – ориентирование (отрыв отклонителя от забоя) |
| l |
| d к |
| II |
| III |
| I |
| 13 12 11 10 9 8 7 6 5 4 3 2 1 |
Отклонитель реализует искривление за счет асимметричного разрушения забоя. Интенсивность искривления рассчитывается по формуле
(9.9)
где D и – диаметр породоразрушающего инструмента, м;
|
|
|
d к – диаметр корпуса ОНД в месте излома распорно-отклоняющего блока I (рис. 9.11), м;
l – расстояние от торца инструмента до места излома распорно-откло-няющего блока I, м.
Регулирование интенсивности искривления осуществляется изменением угла излома распорно-отклоняющего блока I, что позволяет получить значения интенсивности от 0,2 до 1,5 град/м.
Конструктивно «Кедр» представляет собой корпус с жёстким сменным искривленным патрубком 2, в подшипниковых узлах 1 которого размещен роторный вал 3 с двумя внутренними шарнирами. Стабилизирующее распорное устройство выполнено в виде подпружиненного выдвижного клинового ползуна 4, снабжённого катками. Наружный шарнир 5 обеспечивает гибкую связь и регулируемую угловую установку нижней и верхней секций относительно апсидальной плоскости.
Ориентирующее устройство выполнено в виде винтового механизма со свободно устанавливающимся в апсидальной плоскости шариком. Устройство для ориентирования отклонителя содержит средний роторный вал 6 с заглушенным центральным каналом, и двумя боковыми промывочными отверстиями и шлицевыми выступами на верхнем конце, возвратную пружину 7, разделительное кольцо 8, втулку 9 с шлицами в верхней части, узел блокировки 10 верхнего роторного вала 12 с пружиной 11. На верхнем роторном валу 12 размещена пружина 13, обеспечивающая передачу усилия на корпус, упругое выдвижение и продольное перемещение по образующей ствола скважины ползуна распорного устройства.
При установке отклонителя на забой (рис. 9.11, б) верхний роторный вал перемещается вниз на величину хода в шлицевой втулке 9, верхняя пружина параллельно перемещает корпус вниз до выхода ползуна, упора его в стенку скважины и создания перекоса нижней секции отклонителя.
Одновременно с этим шарик ориентирующего блока освобождается и занимает нижнее положение в апсидальной плоскости. После этого размыкается блокировка верхнего роторного вала с корпусом, отмечается кратковременный рост давления промывочной жидкости, наблюдаемый по манометру бурового насоса. Повышение и снижение гидравлического давления является сигналом силового контакта долота с забоем.
Для ориентирования (рис. 9.11, в) отклонитель «Кедр» следует припод-нять на 0,2–0,5 м над забоем, при этом клиновой ползун втягивается в габариты корпуса. Зафиксированный в апсидальной плоскости шарик, взаимодействуя с винтовой поверхностью стакана ориентирующего устройства, обеспечивает поворот и установку отклонителя в заданное положение. При подъеме отклонителя над забоем разделительное кольцо 8 вновь разъединяет осевые каналы лицевого вала, что также сопровождается кратковременным повышением давления промывочной жидкости, а затем возвратом давления до рабочих параметров. Последовательное повышение и снижение давления промывочной жидкости при подъеме отклонителя над забоем скважины свидетельствует об окончании процесса ориентирования. После получения сигналов об ориентации отклонителя и постановки его на забой создается рабочая осевая нагрузка, включается вращатель бурового станка и производится бурение скважины. Асимметричное разрушение забоя скважины и её искривление осуществляются за счет наклона оси породоразрушающего инструмента к оси скважины. При бурении рекомендуются осевая нагрузка 8,0–30,0 кН; частота вращения не более 600 мин-1; расход промывочной жидкости 30 л/мин.
Отклонитель «Кедр» также может применяться с колонковой трубой для бурения с отбором керна. В этом случае колонковая труба устанавливается вместо нижнего искривленного узла распорно-отклоняющего блока I отклонителя (рис. 9.11) при соединении с валом через шарнирный переходник. Длина колонковой трубы может составлять 0,5–1,2 м, что позволяет получить интенсивность искривления 0,8–1,0 град/м при её длине 0,5 м; 0,3–0,4 град/ м при её длине 1,0 м и 0,2 град/м при её длине 1,2 м.
|
|
|
Забойный комплекс «Кедр» позволяет выполнять искусственное искривление на больших глубинах и при использовании вязких буровых растворов, обеспечивает дохождение до забоя по шламу, прохождение по зауженным участкам ствола и выполнение работ в неустойчивых породах за счет возможного многократного повторного ориентирования в течение рейса. Возможность регулирования интенсивности искривления в широких пределах и плавный набор кривизны позволяют использовать комплекс при всех видах разведочного бурения, в том числе комплексом ССК.
Отклонитель ТЗ-3П-59 является модернизированнымОНД типа ТЗ-3 (рис. 9.12) [15,16 ]. На рис. 9.12 обозначено: 1 – долото с переходником; 2 – нижний полуклин; 3 – съемная регулировочная плашка; 4 – выдвижной ползун; 5 – катки ползуна; 6 – накладка на хвостовике нижнего полуклина; 7 – верхний полуклин; 8 – центровочная вставка из твердого сплава.
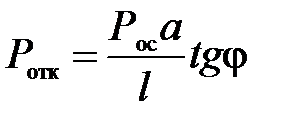
Нижний полуклин отклонителя ТЗ-3П имеет накладку 6, размер которой обеспечивает положение долота в скважине без перекоса. В результате ОНД ТЗ-3П реализует фрезерование стенки скважины в направлении действующего отклоняющего усилия Р отк.
Для настройки отклонителя на расчетную интенсивность искривления предусмотрена установка плашки 3 (рис. 9.12). Высота превышения плашки 3 над корпусом регулируется с помощью накладок. Расчет интенсивности реко-мендуется производить по формуле:
(9.10)
где d 1 – диаметральный размер по накладке 3, м;
L н – расстояние от торца долота до накладки 6 (рис. 9.12), м.
| Рис. 9.12. Схема отклонителя ТЗ-3П-59 в рабочем положении |
| С |
| d 1 |
| 3 |
| 6 |
| 5 4 |
| 1 |
| 2 |
| 8 |
| 7 |
| r к |
| L н |
| Р отк |
| А |
| В |
| Р р |
| Р ос |
Достоинства отклонителя ТЗ-3П-59 в сравнении с отклонителем типа ТЗ-3 состоят в минимальной при работе ОНД деформированности вала, возможности задавать интенсивность искривления и обеспечивать её регулирование при минимальном, но достаточном для реализации искривления значении отклоняющего усилия на долоте.
|
|
|
Отклонители ОГМ-59 и ОГМ-76 [15,16] предназначены для искусственного искривления скважин диаметром 59 и 76 мм в породах V–XI категорий по буримости. Отклонители имеют гидромеханический узел закрепления в скважине, выполненный в виде выдвижной плашки, армированной резцами из твердого сплава и расположенной в вырезе корпуса. Эта конструктивная особенность ОГМ, в отличие от отклонителей с механическими распорными устройствами, позволяет производить искривление при самой минимальной осевой нагрузке на инструмент, так как величина распорного усилия не зависит от осевого усилия на долото.
Интенсивность искривления, реализуемая отклонителем, может составлять 0,3–2,0 град/м и регулироваться в этом диапазоне. Рабочий перепад давления промывочной жидкости для надежного закрепления отклонителя в скважине составляет 0,8–1,0 МПа, а расход промывочной жидкости 45–60 л/мин. Максимальный диаметр раскрепления – 61,5 мм при диаметре корпуса 56,5 мм (ОГМ-59), 78 мм – при диаметре корпуса 72 мм (ОГМ-76). Длина отклонителя ОГМ-59 – 0,61 м, отклонителя ОГМ-76 – 0,65 м.
Отклонитель ОГМ (рис. 9.13) состоит из переходника 1, вала 2, корпуса 3 и долота 4. В нижней части вала установлен клапан-дроссель 5,
| 3 |
| Рис. 9. 13. Отклонитель ОГМ-59 |
| А |
| А-А |
| 2 4 |
| 12 |
| Б-Б |
| 2 12 11 |
| 7 |
| Б |
| 1 2 9 4 |
| 4 9 |
| 4 |
| 5 |
| 14 |
| 12 |
| 8 |
| 16 |
| 10 |
| А |
| А |
| Б |
| Б |
| 15 |
| 3 |
| 11 |
| 13 |
| 13 |
| 9 |
предназначенный для создания перепада давления промывочной жидкости внутри отклонителя. На валу имеется отверстие 6 для попадания промывочной жидкости в полость А (между валом 2 и гидрокамерой 7). На валу в постоянном зацеплении с ним находится муфта гидрорасцепки 8 с уплотнениями 9. На период спуска отклонителя и его ориентации (до включения насоса) муфта 8 находится в зацеплении с валом 2 корпусом 3 через шлицевые соединения. Отверстие 10 на валу предназначено для прохождения промывочной жидкости в полость Б гидрорасцепки. Основной деталью корпуса отклонителя является гидрокамера, состоящая из резиновой камеры 7 и распорной плашки 11 с накладкой и резцами 12. Накладка на распорной плашке 11 позволяет регулировать поперечный размер распора отклонителя, а резцы 10 обеспечивают стабилизацию корпуса отклонителя.
| Р отк |
| l 1 |
| l 2 |
| r в |
| L н |
| r н |
| l н |
| Р р |
| А |
| В |
| R скв |
| Рис. 9.14. Схема параметров отклонителя ОГМ |
| 13 |
| 15 |
Порядок работы с отклонителем следующий. После его спуска и ориентации включается буровой насос. При этом клапан-дроссель 5 обеспечивает повышение давления в полости вала и распорная плашка 11 вследствие расширения гидрокамеры 7 выходит из окна корпуса и фиксирует корпус ОНД в скважине. Исключая его проворот. Муфта 8 гидрорасцепки одновременно с закреплением отклонителя перемещается в верхнее положение, освобождая вал от зацепления с корпусом. Вращение вала начинается с минимальных частот вращения и при минимальной осевой нагрузке на долото.
После приработки долота частоту вращения доводят до 300 мин-1, осевую нагрузку – до 20,0 кН. Скорость бурения отклонителем не должна превышать 0,9 м/ч, а номинальный интервал бурения 2,5 м. Для проработки интервалов искривления рекомендуется использовать шарнирные компоновки типа СПИ-59 (рис. 9.8, в). Далее бурение продолжают колонковыми наборами (длина наборов 1,5; 2,0; 2,5 м), соединенными с гибкими трубами, например, СБТ-42.
Отклонитель реализует набор кривизны фрезерованием стенки скважины под действием отклоняющего усилия.
Отклоняющее усилие, развиваемое отклонителем ОГМ, вызвано не деформацией вала, а распорным усилием, создаваемого плашкой 11, которая выдвигается из корпуса под давлением промывочной жидкости, попадающей в полость А через канал 6 в валу отклонителя. Данное обстоятельство определяет меньшую вероятность поломок деталей отклонителя, в первую очередь вала, из-за гораздо меньших механических напряжений. Отклоняющее усилие, развиваемое отклонителем ОГМ, можно определить из зависимости [15,16]:
, (9.11)
где ρж – давление промывочной жидкости в гидрокамере А отклонителя, МПа;
S п – площадь распорной плашки 11 со стороны гидрокамеры 7, м2;
L в – расстояние от торца долота до верхней точки накладки 13, м;
l 2 – расстояние от середины плашки 11 до верхней точки накладки 13, м.
Под действием отклоняющего усилия происходит фрезерование стенки скважины и набор кривизны. Пределом величины кривизны являются условие вписываемости отклонителя в искривленный ствол скважины.
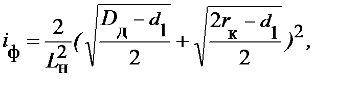
Для регулирования интенсивности искривления снарядом ОГМ служит накладка 15 на корпусе ОНД (рис. 9.13, 9.14). Толщина накладки позволяет регулировать радиус r н и устанавливать величину кривизны ствола скважины подобно тому, как это решено в конструкции отклонителя ТЗ-3П-59 (рис. 9.12). В этом случае точки А и В (рис. 9.14) на долоте и накладке 15 задают предельное значение интенсивности искривления. Расчетное значение интенсивности искривления отклонителем ОГМ можно получить по зависимости:
(9.12)
где R скв, r н, l н – размеры на ОНД, приведенные на рис. 9.14.
Отклонитель ОГМ рекомендуется применять в составе много-функциональной компоновки МФК, которая включает отклонитель, ориентатор и инклинометр, что позволяет за один рейс произвести ориентирование отклонителя, искривление скважины в заданном направлении и определение полученных угловых параметров (несколько значений зенитного и азимутального углов) искривленной скважины.
Интенсивность искривления скважины компоновкой МФК составляет 0,5–1,5 град/м, затраты времени на ориентирование отклонителя – 5 мин., на измерение параметров кривизны в одной точке – 2 мин [15,16].
Отклонители СБС (ОБС) типоразмера 76; 59 и 46 мм аналогичны по конструкции и состоят из двух основных частей: не вращающегося при наборе кривизны корпуса-статора и вращающегося внутреннего вала-ротора (рис. 9.15) [15,16].
Не вращающаяся при работе ОНД часть состоит из корпуса 1, в котором размещена выдвижная каретка 2 с роликами 3. Торец каретки 2 скошен под углом 45 º и соприкасается с клином 4 раскрепляющего узла. Последний состоит из муфт и корпуса-трубы 5, посаженных на радиальных подшипниках на верхнюю часть составного рабочего вала 6 и 7. Передача осевой нагрузки производится с помощью тарельчатых пружин 8 и упорного подшипника 9. С нижней частью корпуса соединяется отклонитель 10 с внутренним отверстием овального сечения для размещения вала шарнира 11. Отклоняющий узел также снабжен роликами 3 для удержания корпуса снаряда от проворота в скважине при перемещении в процессе бурения интервала искривления. Отклонитель находится в контакте со сместителем 12, помещенным на радиальном подшипнике, на ведомом валу 13 и опирающимся на упорный подшипник 14 и переходник 15, с которым соединяется породоразрушающий инструмент. Муфта закрывает радиально-упорный подшипник 16.
| 3 |
| 6 8 5 9 4 7 2 3 18 19 20 1 17 11 10 12 13 16 14 15 |
| Рис. 9.15. Отклонитель СБС |
| 21 |
Опыт применения отклонителей СБС на различных месторождениях позволил установить зависимость интенсивности искривления от зазора в отклоняющем узле (табл. 9.1).
Отклонитель СБС работает следующим образом. После ориентирования снаряда его без вращения устанавливают на забой и передают осевую нагрузку, которая через ведущий вал 6 передается на тарельчатые пружины 8, подшипник 9 и клин 4.
Клин 4 перемещается вниз и выдвигает распорную каретку 2 за пределы размеров корпуса, ролики 3 краями врезаются в стенку скважины и удерживают снаряд от проворота. При этом подшипниковый узел 19 сжимает пружину 20 и
Таблица 9.1
Значения интенсивности искривления от зазора в отклоняющем узле отклонителя СБС
| Зазор, мм | |||||
| Средняя интенсивность искривления, град/м | до 0,7 | 0,7-1,0 | 1,0-1,3 | 1,3-1,5 | 1,5 |
кольцом упирается в муфту корпуса 18; таким образом осевая нагрузка передается на долото по наружному невращающемуся корпусу к отклонителю 10. Последний надвигается на сместитель 12 и смещает его от оси снаряда на расстояние, определяемое шириной паза ограничителей. Ведомый вал 13 изменяет свое положение, поворачиваясь на некоторый угол в шарнире 11, что вызывает отклонение переходника 15.
Осевая нагрузка от отклонителя 10 передается на сместитель 12, муфту 16 и подшипниковый узел 14, а затем на переходник 15 и долото, в то время как вращение передается по внутреннему рабочему валу. Одна из проблем эксплуатации отклонителей СБС состояла в том, что в ряде случаев происходило заклинивание верхнего раскрепляющего узла при подъеме снаряда из скважины. Поэтому была произведена модернизация верхнего распорного механизма, который был позаимствован у отклонителя типа ТЗ (см. рис. 9.12, ползун 4). Таким образом, отклонитель ОБС-59 имеет верхний узел раскрепления в виде выдвижного ползуна с катками.
В зависимости от величины зазора (табл. 9.1), устанавливаемого ограничителями 21 (рис. 9.15), отклонители СБС и ОБС могут обеспечивать набор кривизны или преимущественно за счет перекоса вала 1, т.е. асимметричного разрушения забоя при зазоре до 5 мм, или совместными фрезерованием под действием Р отк и асимметричным разрушением забоя при зазоре более 5 мм, но уже в основном за счет фрезерования стенки скважины. При величине зазора с = (6–7) мм отклоняющая сила, действующая в направлении фрезерования, рассчитывается без учета деформации вала по формуле
, (9.13)
где φ – угол скоса полуклиньев в месте их соединения (равен 30 º) , град;
l – длина нижнего вала 1 отклонителя, м;
a – длина вала 1 от шарнира 2 до середины скоса полуклиньев, м.
При величине зазора d = (8–9) мм возможен прогиб, и в этом случае отклоняющее усилие можно рассчитать по формуле
, (9.14)
где EI – жесткость вала 1, Па·м4;
b – длина вала 1 от середины скоса полуклиньев до торца инструмента, м;
X – прогиб вала 1, равный разности установленной величины зазора d и предельной величины зазора, позволяющей смещаться валу в корпусе без деформации с (5 мм), м.
Пример 17. Рассчитать интенсивность искривления отклонителем ОБС-59 при установленном сменном ограничителе зазора (табл. 9.1), равного 5 мм.
В этом случае интенсивность искривления определится по формуле (4.9):
град/м,
При увеличении зазора, задающего смещение нижнего полуклина сменным ограничителем зазора до c = (6–7) мм (табл. 9.1), на долоте будет проявляться значительная по величине отклоняющая сила, которая приведет к повышению набора кривизны до 1,0–1,5 град/м. Величина этой силы, рассчитанная по формуле (9.13), будет равна:
кН.
При увеличении зазора сменным ограничителем до d = 9 мм (табл. 9.1) возможен прогиб вала и изменение отклоняющего усилия, которое рассчитывается по формуле (9.14):
2,0 кН.
Таким образом, при работе отклонителя величина Р отк будет варьировать в интервале 2,0–3,0 кН, что и обеспечивает набор кривизны фрезерованием и асимметричным разрушением забоя.
Бурение интервала искусственного искривления отклонителями СБС или ОБС производится при следующих режимных параметрах.
После постановки отклонителя на забой создается осевая нагрузка в 20,0 кН для СБС (ОБС)-59 и 15,0 кН для СБС (ОБС)-46 для врезания роликов раскрепляющего и отклоняющих узлов в стенку скважины. Затем осевую нагрузку следует снизить до 15,0 кН для СБС (ОБС)-59 и 10,0 кН для СБС (ОБС)-46, включить первую, а после приработки долота вторую скорость бурового станка.
Выбирать параметры режимов бурения снарядами фрезерующего типа, к которым относятся и отклонители СБС и ОБС, необходимо с учетом обеспечения оптимальной механической скорости бурения, которую следует поддерживать в пределах 0,8–1,0 м/час. При меньшей скорости бурения интенсивность искривления может увеличиться по сравнению с проектной, и, наоборот, при скорости выше 1,0 м/час, возможно уменьшение запроектированной интенсивности.
После окончания бурения СБС заданного интервала искусственного искривления скважины останавливают вращение колонны, снимают осевую нагрузку и приподнимают отклонитель от забоя на 15–20 см. При медленном движении шпинделя вверх производят 1–2 оборота колонны вправо, при этом происходит блокировка вала отклонителя в корпусе. Дальнейший подъем отклонителя осуществляется обычным способом.
Снаряд направленного бурения для ССК компании Devico. Направленное бурение с отбором керна обеспечивается специальным колонковым набором Devidrill, который может применяться с серийным снарядом типоразмера NQ (75,4 мм) с наружным диаметром колонкового набора 72 мм. Данный колонковый набор представляет собой отклонитель, обеспечивающий искривление скважины с интенсивностью 0,3 град/м и отбор керна диаметром 31,5 мм на всем интервале работы отклонителя. Длина керноприемной трубы 3,0 метра.
Принцип работы устройства Devidrill заключается в использовании ведущего вала (бурильной колонны), проходящей через втулку, смещенную от центральной оси устройства, что обеспечивает изгиб колонкового набора под действием осевого усилия при провороте эксцентриковой втулки и перекос коронки (рис. 9.16). В верхней части набора, на расстоянии 2 м, устройство имеет выдвижную накладку, которая работает под давлением промывочной жидкости и воздействует на стенку скважины. Накладка выдвигается за пределы поверхности колонкового набора и, упираясь в стенку скважины с усилием P, фиксирует плоскость изгиба колонкового набора.
Внутренние составляющие снаряда включают в себя средства ориентирования отклонителя, съемный керноприёмник, систему переводников, трубу с инструментом для инклинометрии, с целью фиксиии данных c последующей их передачей на компьютер. Информация записывается внутри устройства и загружается на компьютер после каждого рейса.
Следует отметить, что отклонитель Devidrill является наиболее современным и эффективным снарядом для работы с комплексами ССК.
9.3. Ориентаторы и приемы работы с ними
Для ориентирования отклонителей используются приборы и методы прямого ориентирования по азимуту требуемого направления искривления и приборы и методы косвенного ориентирования по углу установки отклонителя ωО.
В качестве метода прямого ориентирования применяют спуск в скважину ориентированного по направлению искривления отклонителя.
Для ориентирования по углу установки отклонителя применяются различные конструкции ориентаторов, которые можно разделить на устройства:
-механического типа (ШОК, самоориентатор ОП-3, ориентатор отклоняющего комплекса «Кедр»);
-электро-механического типа (Луч, УШО, КУРС, ОЭ, ОБ);
-гидро-механического типа (ОШГ, АЗОР).
| 12 11 10 9 8 |
| 7 |
| 6 |
| 5 4 3 1 |
| 2 |
| Рис. 9.17.Ориентатор ОП |
9.3.1. Ориентаторы механического типа. Самоориентаторы
Среди ориентаторов механического типа наиболее известен ориентатор ШОК (штыревой ориентатор клиньев). ШОК разработан не менее полувека назад для ориентирования отклоняющих клиньев в наклонных скважинах. Важнейшим достоинством данного ориентатора является простота его конструкции, что позволяет осуществить его изготовление в самой простой механической мастерской. Конструкция ШОК и правила работы с ним даны в работах [15,16].
Самоориентатор ОП-3 разработан ЗабНИИ для ориентирования ОНД типа ТЗ и устанавливается непосредственно над отклонителем (рис. 9.17) [15,16].
Включает переходник 1 с резьбой для соединения с корпусом ОНД, шарнирную втулку 2 и контргайку 3, кольцо 4 и штифты 5, обеспечивающие шарнирное соединение отклонителя с ориентатором. Вал 6 с резьбой для соединения с валом отклонителя, помещен внутри корпуса, в котором на подшипниках дисбалансом помещен свинец эксцентричного груза 7. Вес груза 7 должен быть достаточным для проворота отклонителя на заданный угол ориентирования. В корпусе 8 подшипникового узла имеется пята 9, подшипник 10 и две половины сцепной муфты 11 и 12.
Для настройки отклонителя на заданный угол установки эксцентричный груз 7 перед спуском в скважину ориентируют на заданный угол установки отклонителя, и это положение эксцентричного груза 7 относительно корпуса ОНД фиксируют с помощью
| Рис. 9.18. Схемы (а, б), поясняющие процесс настройки самоориентатора ОП и отклонителя типа ТЗ на угол установки отклонителя ωО = 90 º |
| G |
| 2 1 |
| 3 |
| 0º |
| 5 |
| 6 |
| 4 |
| G |
| 90 º |
| 2 1 |
| 3 |
| 4 |
| 90º |
| ωО =0 º |
| 5 6 |
| а |
| б |
контргайки 3.
С этой целью отклонитель с присоединенным самоориентатором ОП укладывают на горизонтальную поверхность, отвинчивают контргайку 3 и свободно вращающийся относительно эксцентричного груза корпус отклонителя поворачивают в положение угла установки ωО=0 º. Для ТЗ или ТЗ-3П это положение соответствуют случаю, когда ползун отклонителя с катками-роликами направлен строго вертикально вниз и совпадает с положением эксцентричного груза 7, который под действием веса эксцентрика, занимает нижнее положение (см. рис. 9.18, а). Далее, не меняя положение эксцентричного груза 7, корпус отклонителя поворачивают на заданный угол установки ωО. Контроль угла поворота следует вести с помощью устройства ПУ (рис. 9.18), предварительно закрепленного на корпусе ОНД в положении, при котором стрелка ПУ строго совпадает с направлением, в котором происходит искривление скважины отклонителем (в сторону противоположную ползуну с катками-роликами).
Полученное положение груза 7 относительно корпуса и ползуна отклонителя фиксируют с помощью контргайки 3.
На рис. 9.18 представлены схемы, поясняющие процесс настройки самоориентатора ОП-3 и отклонителя ТЗ-3 на угол установки отклонителя ωо равный 90 º (искривление вправо с увеличением азимута без изменения зенитного угла).
На рис. 9.18 обозначены: 1 – эксцентричный груз, занимающий положение под действием силы тяжести и веса груза G (соединен с корпусом отклонителя и фиксируется с ним контргайкой); 2 – вал самоориентатора (соединен с валом отклонителя); 3 – катки-ролики ползуна отклонителя ТЗ или ТЗ-3П; 4 – направление искривления отклонителем; 5 – устройство ПУ; 6 – шарик–указатель угла установки отклонителя данного устройства.
На левой схеме отклонитель – в исходном при настройке положении, когда угол установки отклонителя равен 0 º; на правой схеме он повернут по часовой стрелке на четверть оборота, что соответствует углу установки 90 º.
Зафиксированные в таком положении контргайкой 3 эксцентричный груз 7 ориентатора (рис. 9.17) и отклонитель спускают в наклонную скважину.
При спуске в скважину груз 7 (рис. 9.17) и отклонитель находятся в свободно подвешенном состоянии на пяте 9 и подшипнике 10, а поэтому эксцентричный груз 7 проворачивается под действием силы тяжести и проворотом устанавливает отклонитель на заданный угол ориентации.
При постановке на забой верхняя часть 12 сцепной муфты и пята 9 опускаются вниз, а зубцы двух половин 11 и 12 сцепной муфты входят в зацепление, передавая крутящий момент и осевое усилие от колонны к валу 6 и далее к долоту ОНД (рис. 9.17). В результате обеспечиваются закрепление отклонителя в скважине и углубление забоя с искривлением скважины в заданном направлении.






