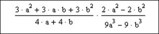
Рассмотрим следующий пример, в котором требуется упростить выражение:
.
Для удобства установим режим отображения результатов вычислений по горизонтали (в меню выбрать Symbolic → Evaluation Style → установить опцию Horizontally).
Введем исходное выражение как показано на рис. 19.

Рис. 19. Фрагмент MathCAD-документа:
формульный блок с заданным выражением
Для того, чтобы упростить данное выражение необходимо сначала выделить клавишей Пробел все выражение, далее в меню выбрать Symbolic → Simplify. Результат (преобразованное выражение) будет отображен в рабочем документе справа от исходного выражения (рис. 20).

Рис. 20. Фрагмент MathCAD-документа:
результат упрощения алгебраического выражения
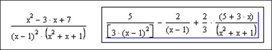
Пример 3.2. Упростить следующее выражение:
.
Упростим данное выражение, используя функцию Expand.
Введем исходное выражение, выделяем его клавишей Пробел, далее выбираем в меню Symbolic → Expand. Результат (преобразованное выражение) будет отображен в рабочем документе справа от исходного выражения (рис. 21).
|
|
|

Рис. 21. Фрагмент MathCAD-документа:
результат упрощения алгебраического выражения
Пример 3.3. Разложить на множители следующее выражение:
.
Для разложения на множители данного выражения используем функцию Factor в меню Symbolics, предварительно выделив все выражение. Результат упрощения выражения приведен на рис. 22.

Рис. 22. Фрагмент MathCAD-документа:
результат упрощения выражения с использованием функции Factor
Пример 3.4. Разложить на простейшие дроби рациональную дробь
.
Введите аналогично как и в предыдущих примерах алгебраическое выражение, выделите с помощью мыши переменную х, далее выберите в меню Symbolic → Variable → Convert to Partial Fraction. Ниже приведен фрагмент рабочего документа MathCAD с соответствующими вычислениями.

Рис. 23. Фрагмент MathCAD-документа:
результат разложения рациональной дроби на простейшие дроби






