Рабочей (просеивающей) поверхностью грохота называют плоскую, реже цилиндрическую или коническую поверхность, имеющую отверстия, на которой осуществляется процесс рассева материала по классам крупности.
Рабочими (просеивающими) поверхностями грохотов могут быть колосниковые решетки, набранные из параллельных брусьев (круглые, квадратные, ромбические, в виде рельсов и т.д.), стальные решета со штампованными или сверлеными отверстиями, плетеные сетки из стальной или латунной проволоки, сита из синтетических материалов (полиуретан, капролакс и др.). В настоящее время на обогатительных фабриках широко применяют решета, выполненные из резины или полиуретанового каучука. Их изготовляют с квадратными, круглыми или треугольными отверстиями размером 3-20 мм, методом прессования. Толщина резинового листа 3-6 мм. При работе с глинистыми материалами для уменьшения заиливания отверстия могут иметь трапециевидную форму.
Всякий грохот имеет одну или несколько рабочих (просеивающих) поверхностей - сит, установленных в одном или нескольких коробах, совершающих качательные или встряхивающие движения. В некоторых конструкциях грохотов просеивающую поверхность образуют вращающиеся диски (валки), располагаемые параллельно в несколько рядов. Для грохочения крупного материала иногда применяют решетки, собранные из колосников различной формы или стержней, которые устанавливают неподвижно с наклоном, достаточным для свободного скольжения по ним материала.
8Что называют живым сечением просеивающей поверхности и как его подсчитать, если отверстия квадратные
Отношение площади отверстий сита в свету к общей его площади, выраженное в процентах, называется живым сечением сита или коэффициентом живого сечения.
Проволочные сетки
Проволочные сетки изготовляются с квадратными или прямоугольными отверстиями размером от 100 до 0,04 мм. Для изготовления сеток применяются проволоки стальные (из легированных и нержавеющих сталей), латунные, медные, бронзовые, никелевые и др.
Для сеток с квадратными отверстиями живое сечение

где а — диаметр проволоки, мм; l - размер отверстий, мм.
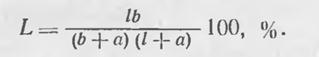
Для сеток с прямоугольными отверстиями размером l × b (длина и ширина) живое сечение

Живое сечение сеток с прямоугольными отверстиями при одних и тех же значениях l и а всегда больше, чем сеток с квадратными отверстиями.
Просеивающая способность сеток возрастает с увеличением их живого сечения (с уменьшением толщины проволоки), а прочность и срок службы тем больше, чем толще проволока.
Различают тканые сетки, сборные из рифленых проволок и сварные, в которых проволоки в местах пересечения сваривают.






