Основным показателем грохочения является его эффективность Ег (%), характеризующая точность разделения материала по крупности. Численно она определяется отношением количества подрешетного продукта к общему количеству его в исходном продукте, т. е. представляет собой извлечение нижнего класса в подрешетный продукт.
Если обозначим через α, β и Θ содержание нижнего класса соответственно в исходном, подрешетном и надрешетном продуктах, то на основании уравнения

эффективность грохочения можно рассчитать по следующей формуле:

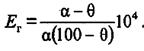
В случае, когда зерна крупнее заданного размера не попадают в подрешетный продукт и β = 100%, получаем:

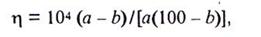
Так как в производственных условиях непосредственное определение массы полученного подрешетного продукта затруднено, на практике пользуются другой формулой для расчета эффективности (или КПД) грохочения:

где η — КПД грохочения, %; а и b — содержание нижнего класса соответственно в исходном и надрешетном продукте, %.
Значения а и b определяют на основании тщательного рассева проб исходного материала и надрешетпого продукта, проведенного на ситах с тем же размером и формой отверстий, что и на сите грохота.
Основными показателями работы грохота являются его производительность и эффективность грохочения. Эти показатели всегда взаимосвязаны. Производительность различных грохотов можно сравнивать при условии, что они обусловливают одинаковую эффективность грохочения. Обычно считается, что от ширины грохота зависит его производительность, а от длины - эффективность грохочения.