Рассмотрим электромагнитные процессы в цепи катушки с ферромагнитным сердечником при подключении ее к синусоидальному напряжению (рис.1).

Рис.1. Схема замещения электрической цепи катушки с ферромагнитным сердечником
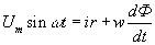
На основании второго закона Кирхгофа имеем:

Активное падение напряжения ir относительно мало и для анализа общего характера процесса им можно пренебречь:
,
отсюда
Ф = - 
Здесь A - постоянная величина магнитного потока, которая при питании синусоидальным напряжением (в установившемся режиме) равна нулю. Поэтому
, | (1) |
где
.
Будем считать, что начальная фаза потока равна 0, т.е.
. Тогда
, т.е. ЭДС отстает от индуцирующего ее потока на
.
, где ; | (2) |
- уравнение трансформаторной ЭДС.
,
, где
;






