Через те, що поле є кільцем, всі властивості кілець автоматично переносяться на поля, до них лише слід додати властивості операції ділення. Розглянемо ряд властивостей поля, що випливають безпосередньо з його означення.
1. Жодне поле не має дільників нульового елемента.
2. Для відношень
елементів поля Р (а ¹ q) справедливі арифметичні властивості звичайних дробів, а саме:
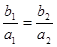
1) якщо
, то
і тільки тоді, коли
;
2) для довільних елементів поля
(
) виконується рівність
;
3) для довільних елементів поля
(
) виконується рівність
;
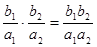
4) для довільних елементів поля
(
) виконується рівність
;
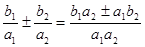
5) для довільних елементів поля
(
) виконується рівність
.
3. У полі Р справедливі звичайні арифметичні правила дій з цілими степенями:
.
При цьому за означенням
при
.
ЛІТЕРАТУРА
1. М.Атья, И.Макдональд. Введение в коммутативную алгебру. – Москва: Мир, 1972.
2. З.И.Боревич, И.Р. Шафаревич. Теория чисел. – Москва: Наука, 1985.
3. Б.Л. ван дер Варден. Алгебра. – Москва: Наука, 1976.
4. И.М. Виноградов. Основы теории чисел. – Москва: Наука, 1981.
|
|
|
5. Ю.А.Дрозд, В.В.Кириченко. Конечномерные алгебры. – Киев: Вища школа, 1980.
6. А.А.Карацуба. Основы аналитической теории чисел. – Москва: Наука, 1983.
7. А.И.Кострикин. Введение в алгебру. – Москва: Наука, 1977.
8. С.Ленг. Алгебра. – Москва: Мир, 1968.
9. Ж.-П.Серр. Группы и алгебры Ли. – Москва: Мир, 1969.
10. М.Холл. Теория групп. – Москва: ИЛ, 1962.
11. И.Р.Шафаревич. Основы алгебраической геометрии. Т.1 – Москва: Наука, 1988.






