Rp.: Glucosi 20, 0
Aquae purificatae 200 ml
MDS. По 1 десертной ложке 3 раза в день
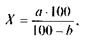
В аптеку глюкоза поступает в виде порошка, содержащего кристаллизационную воду. В прописи рецепта врач выписывает массу, соответствующую глюкозе безводной, поэтому массу глюкозы водной рассчитывают по формуле:
![]() |
где а — масса глюкозы безводной по рецепту, г; b — влажность глюкозы, %.
Допустим, что влажность глюкозы — 10%, тогда водной глюкозы следует взять: (20, 0- 100)/(100 - 10) = 22, 22 г.
Сильногигроскопичные вещества используют в виде заранее изготовленных концентрированных растворов аптечного изготовления (например, кальция хлорид) или промышленного производства (калия ацетат, свинца ацетат и др.).
При изготовлении жидкой лекарственной формы путем растворения нескольких твердых веществ изменение общего объема учитывают, если их суммарное содержание в растворе, так же как для этанольных растворов, составляет 3 % и более. Объем воды, который необходимо взять для растворения, уменьшают на величину прироста объема. Так, в нашем примере изменение объема при растворении водной глюкозы 22, 22-0, 69 = 15, 3 мл (КУО влажной глюкозы — 0, 69 мл/г) превышает норму допустимого отклонения для данного объема (±2 %) — 4 мл, его следует учесть при расчете объема воды очищенной 200 - 15, 3 = = 184, 7 мл.
|
|
|
После растворения вещества объем увеличится и будет равен 200 мл.
После изготовления раствора оформляют лицевую сторону ППК:
Дата_________ ППК 11. 7
Aquae purificatae 184, 7 ml Glucosi (hydr. 10%) 22, 22
V= 200 ml Подписи:
Если изменение объема, возникающее при растворении веществ, укладывается в норму допустимого отклонения, его можно не учитывать.
Для каждого индивидуального вещества максимальную концентрацию, %, при которой изменение общего объема укладывается в норму допустимого отклонения (Сmax), так же как и для этанольных растворов, рассчитывают по формуле (11. 1).
Некоторые особенности при расчетах имеет 60% (по массе) раствор натрия тиосульфата (раствор по Демьяновичу № 1). Раствор был предложен для совместного применения с 6% раствором кислоты хлористоводородной (с содержанием водорода хлорида 24, 8 — 25, 2%). Фармакологический эффект (противочеcоточный) наблюдается в момент выделения серы при последовательном нанесении на пораженную поверхность. При переходе на изготовление водных растворов в массообъемной концентрации изготовление 60% раствора натрия тиосульфата привело к снижению фармакологического эффекта. Это объясняется тем, что при массообъемном изготовлении концентрация раствора по массе становится 46, 37%, что недостаточно для протекания реакции с хлористоводородной кислотой.







