В этом задании предложены два типа разветвляющихся алгоритмов: простая развилка (а) и вложенная развилка (b).
Простая развилка была рассмотрена ранее (2.1), алгоритмическая запись её такова: Если условие (логическое выражение)
то
действие 1
Иначе
действие 2
Всё-если;
Вложенная развилка предполагает несколько способов реализации:
1) самый простой (тройную развилку разбивают на три простые развилки):
Если условие 1
то
действие 1
Всё-если;
Если условие 2
то
действие 2
Всё-если;
Если условие 3
то
действие 3
Всё-если;
2) комбинированный (разбиение на одну простую развилку и одну сложную):
Если условие 1
то
действие 1
иначе { условие 2 }
действие 2
Всё-если;
Если условие 3
то
действие 3
Всё-если;
3) вложение одной развилки в другую:
то
действие 1 Иначе
Если условие 2
то
действие 2
Иначе
действие 3
Всё-если;
Всё-если;
Рис.9. Выполнение примерного задания по теме «Развилки»
G Рекомендации.
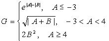
1) Вывести заданные выражения для наглядности в виде объекта с помощью Редактора формул (MS Equation);
2) задать ячейкам B10 и D10 соответствующие имена;
3) применить метод последовательной детализации для вычисления алгебраических и логических выражений;
4) разработать разветвляющийся алгоритм для заданного примера одним из предложенных ранее способов;
5) записать в среде Excel вычисления G по разработанному алгоритму с помощью логической функции ЕСЛИ (см. рис. 9);
6) проверить правильность алгоритма и записанных формул в Excel, изменяя исходные данные (x,y,u) так, чтобы вычисление G выполнялось по разнымветвям развилки.
Варианты задания по теме «Развилки»
| № | Задание | № | Задание |
| 1. | | 2. | |
| 3. | | 4. | |
| 5. | | 6. | |
| 7. | | 8. | |
| 9. | | 10. | |
| 11. | | 12. | |
| 13. | | 14. | |
| 15. | | 16. | |
| 17. | | 18. | |
| 19. | | 20. | |
| 21. | | 22. | |
| 23. | | 24. | |
| 25. | | 26. | |
| 27. | | 28. | |
| 29. | | 30. | |






