Пример приводится на основании итогов второго полугодия 2000 года по коммерческим банкам (источник информации журналу «Финансы и кредит» 11 (71) 2000). В таблице 3.1 представлен ряд основных показателей деятельности банков. Из совокупности экономических нормативов для банков в табл. приведены данные показатели:
Н1 норматив достаточности собственных средств (капитала) банка Н1min =10%
Н2 норматив мгновенной ликвидности H2min=15%
Н3 норматив текущей ликвидности H3min =50%
Н4 норматив долгосрочной ликвидности H4max=120
Н5 норматив общей ликвидности H5min=20%
Н6 размер риска на одного заемщика или группу заемщиков H6max=25%
Н7 размер крупных кредитных рисков Н7max=800%
Таблица 3.1
Основные показатели деятельности банков
| № | Банк | Активы | Собст. капитал | Прибыль до налогов | Экономические нормативы для банков* | ||||
| HI | Н2 | H3 | Н4 | Н5 | |||||
| Сбербанк России | 474641,0 | 36019,6 | 5882,1 | 10,00% | 100,00% | 77,80% | 94,80% | 45,60% | |
| Внешторгбанк | 83289,0 | 25694,5 | 245,8 | 56,00% | 92,00% | 115,00% | 43,60% | 43,00% | |
| Газпромбанк | 71770,7 | 8019,5 | 355,2 | 12,40% | 34,50% | 82,80% | 166,70% | 39,10% | |
| ММБ | 60379,2 | 980,1 | -149,4 | 5,10% | 118,40% | 70,10% | 79,80% | 29,80% | |
| Межпромбанк | 57195,0 | 26084,0 | 306,2 | 51,80% | 51,60% | 101,50% | 15,80% | 33,60% | |
| Альфа-банк | 46845,5 | 13420,8 | 1218,9 | 32,30% | 54,50% | 121,90% | 14,10% | 69,60% | |
| Сургутнефтегазбанк | 37239,8 | 190,2 | 31,1 | 3,40% | 666,80% | 90,90% | 27,60% | 97,30% | |
| Банк Москвы | 29844,4 | 2477,4 | 53,8 | 13,40% | 26,90% | 59,60% | 80,10% | 39,50% | |
| ДИБ | 26751,1 | 2550,7 | 363,6 | 22,20% | 48,60% | 86,30% | 5,80% | 72,20% | |
| Госбанк | 24721,0 | 4095,2 | 257,7 | 24,40% | 82,90% | 83,50% | 27,10% | 42,20% | |
| СитибанкТ/0 | 22051,4 | 2067,1 | 839,6 | 21,60% | 20,20% | 78,10% | 73,10% | 46,40% | |
| Башкредитбанк | 20699,2 | 2761,8 | 330,6 | 17,80% | 52,50% | 79,70% | 63,00% | 40,80% | |
| МДМ-банк | 19415,0 | 4331,1 | 195,7 | 28,00% | 95,80% | 106,20% | 2,10% | 59,50% | |
| Промстройбанк | 16135,5 | 1180,2 | 271,6 | 10,20% | 48,60% | 78,20% | 115,80% | 35,70% | |
| Автобанк | 14651,7 | 1293,2 | 66,8 | 10,10% | 37,50% | 72,60% | 44,60% | 26,40% | |
| Менатеп-СПб | 14533,8 | 1501,4 | 128,0 | 16,00% | 77,00% | 92,00% | 16,10% | 47,80% | |
| Еврофинанс | 13235,7 | 1997,4 | 290,1 | 33,60% | 120,70% | 81,40% | 1,50% | 32,60% | |
| НРБ | 13154,0 | 3777,2 | 153,8 | 61,40% | 77,70% | 110,90% | 27,00% | 14,40% | |
| Собинбанк | 12719,3 | 3776,6 | 67,8 | 27,40% | 41,60% | 125,80% | 5,80% | 51,50% | |
| БНП-Дрезднер банк | 12478,5 | 50,1 | -140,9 | 1,50% | 99,70% | 124,40% | 26,00% | 51,60% | |
| Ханты-Мансийский банк | 12156,4 | 190,0 | 30,7 | 10,50% | 81,50% | 85,20% | 0,50% | 79,10% | |
| Гута-банк | 11883,4 | 2090,1 | 70,9 | 19,10% | 46,20% | 87,20% | 21,90% | 46,30% | |
| Райффайзенбанк Австрия | 11492,0 | 647,8 | 47,4 | 7,60% | 54,00% | 56,60% | 170,60% | 44,40% | |
| Мост-банк | 11139,3 | 1007,7 | -41,9 | 10,50% | 4,70% | 7,70% | 27,90% | 3,50% | |
| Глобэкс | 11044,1 | 6821,1 | 4,8 | 49,40% | 43,30% | 369,70% | 0,20% | 22,40% | |
| АБН АМРО Банк А.О | 9866,3 | 1053,6 | 160,4 | 45,00% | 144,10% | 93,00% | 65,30% | 48,00% | |
| Петрокоммерц | 10235,9 | 697,3 | 251,9 | 17,60% | 93,50% | 100,40% | 9,10% | 71,60% | |
| Возрождение | 8925,9 | 1135,3 | 5,4 | 19,20% | 42,20% | 71,30% | 30,60% | 22,80% | |
| ИНГ Банк (Евразия) | 8628,9 | 1442,0 | 534,1 | 50,60% | 67,00% | 92,80% | 25,70% | 57,60% | |
| НОМОС-банк | 8432,9 | 1076,2 | 16,5 | 21,10% | 48,70% | 82,20% | 70,30% | 39,50% | |
| Зенит | 7869,2 | 640,7 | 171,5 | 15,30% | 37,70% | 71,70% | 52,80% | 39,20% | |
| Дойче Банк | 7727,9 | 2409,4 | 645,7 | 98,60% | 75,00% | 109,50% | 17,20% | 45,70% | |
| Ак Барс | 7010,4 | 2555,2 | 63,5 | 49,70% | 51,60% | 72,90% | 40,30% | 45,20% | |
| Банк Австрия | 6613,2 | 1285,5 | 29,6 | 45,10% | 101,90% | 94,40% | 32,00% | 53,90% | |
| Конверсбанк | 6435,3 | 1843,5 | 89,4 | 34,50% | 33,40% | 63,80% | 15,50% | 34,50% | |
| Транскредит | 6068,0 | 682,0 | 262,0 | 23,90% | 61,70% | 82,20% | 0,10% | 72,80% | |
| БИН | 5759,5 | 678,0 | 81,1 | 16,60% | 43,90% | 75,60% | 2,20% | 51,30% | |
| Петровский | 5641,9 | 331,9 | 10,9 | 10,80% | 55,80% | 63,10% | 79,10% | 41,40% | |
| Креди Лионэ Русбанк | 5620,1 | 451,6 | 69,8 | 3,90% | 179,00% | 93,70% | Н.Д. | 63,40% | |
| Золото-Платина Банк | 5589,1 | 495,0 | 8,2 | 12,10% | 48,80% | 85,30% | 116,20% | 46,50% | |
| Кредит Свисс ФБ | 5571,3 | 1545,7 | 765,4 | 51,60% | 510,00% | 148,50% | 31,50% | 84,90% | |
| МИнБ | 5419,9 | 981,5 | 55,4 | 18,70% | 46,70% | 71,00% | 12,60% | 27,40% | |
| Промсвязьбанк | 5276,2 | 964,7 | 136,3 | 20,60% | 52,60% | 70,80% | 13,30% | 31,90% | |
| Меткомбанк | 4103,5 | 310,9 | 48,2 | 15,90% | 72,40% | 103,20% | 4,80% | 69,20% | |
| Запсибкомбанк | 4079,6 | 329,6 | 45,8 | 19,40% | 90,40% | 101,5% 8 | 16,00% | 57,20% | |
| Челиндбанк | 3715,9 | 461,1 | 64,0 | 23,50% | 42,90% | 0,10% | 12,30% | 61,80% | |
| БалтОНЭКСИМ Банк | 3677,5 | 239,7 | 23,8 | 10,50% | 100,20% | 127,30% | 26,00% | 46,70% | |
| Красбанк | 3601,2 | 313,6 | 103,0 | 64,80% | 108,60% | 105,60% | Н.Д. | 98,10% | |
| Импэксбанк | 3573,7 | 1026,0 | 37,0 | 28,10% | 39,60% | 71,10% | 7,70% | 40,20% | |
| Капитал | 3482,3 | 228,5 | 126,0 | 11,00% | 58,10% | 110,70% | 1,80% | 78,50% | |
| Пробизнесбанк | 3319,7 | 339,1 | 97,0 | 17,80% | 40,50% | 72,30% | 2,40% | 58,40% | |
| МАБ | 3284,9 | 841,5 | 47,0 | 21,00% | 40,20% | 89,30% | 84,00% | 48,60% | |
| Русский генеральный банк | 3281,7 | 496,8 | 68,0 | 41,30% | 95,30% | 97,20% | 9,00% | 66,90% | |
| Мосстройэкономбанк | 3254,3 | 1021,1 | 38,0 | 44,80% | 61,60% | 73,80% | 72,00% | 31,40% | |
| СВА | 3229,6 | 842,2 | 46,0 | 30,90% | 46,40% | 72,40% | 1,40% | 29,10% | |
| Балтийский банк | 3182,2 | 304,0 | 105,0 | 13,70% | 45,50% | 65,00% | 60,30% | 43,80% | |
| Олимпийский | 3117,1 | 1517,5 | 23,0 | 49,80% | 145,90% | 399,20% | 3,00% | 61,20% |
Выдвигается гипотеза о наличии статистической связанности между величиной активов банков и результативными показателями их деятельности. Соответственно в качестве группировочного признака берется величина активов, а в качестве результативных – экономические показатели деятельности. Для наглядности интерпретации группировка проводится на три группы: малые, средние и крупные.
Решение
Для определения интервальных промежутков групп по величине активов проведем предварительную группировку единиц совокупности по факторному признаку - возрастанию активов (при использовании Excel выделив интервал данных, воспользуйтесь опцией «Данные» в ней «Сортировка» по возрастанию). Сгруппированные по возрастанию активов банки приведены в таблице 3.2.
Таблица 3.2
Банки, перегруппированные по возрастанию активов
| № | Банк | Активы | Собст. капитал | При-быль | HI | Н2 | H3 | Н4 | Н5 |
| Олимпийский | 3117,1 | 1517,5 | 23,0 | 49,80% | 145,90% | 399,20% | 3,00% | 61,20% | |
| Балтийский банк | 3182,2 | 304,0 | 105,0 | 13,70% | 45,50% | 65,00% | 60,30% | 43,80% | |
| СВА | 3229,6 | 842,2 | 46,0 | 30,90% | 46,40% | 72,40% | 1,40% | 29,10% | |
| Мосстройэкономбанк | 3254,3 | 1021,1 | 38,0 | 44,80% | 61,60% | 73,80% | 72,00% | 31,40% | |
| Русский генеральный банк | 3281,7 | 496,8 | 68,0 | 41,30% | 95,30% | 97,20% | 9,00% | 66,90% | |
| МАБ | 3284,9 | 841,5 | 47,0 | 21,00% | 40,20% | 89,30% | 84,00% | 48,60% | |
| Пробизнесбанк | 3319,7 | 339,1 | 97,0 | 17,80% | 40,50% | 72,30% | 2,40% | 58,40% | |
| Капитал | 3482,3 | 228,5 | 126,0 | 11,00% | 58,10% | 110,70% | 1,80% | 78,50% | |
| Импэксбанк | 3573,7 | 1026,0 | 37,0 | 28,10% | 39,60% | 71,10% | 7,70% | 40,20% | |
| Красбанк | 3601,2 | 313,6 | 103,0 | 64,80% | 108,60% | 105,60% | Н.Д. | 98,10% | |
| БалтОНЭКСИМ Банк | 3677,5 | 239,7 | 23,8 | 10,50% | 100,20% | 127,30% | 26,00% | 46,70% | |
| Челиндбанк | 3715,9 | 461,1 | 64,0 | 23,50% | 42,90% | 0,10% | 12,30% | 61,80% | |
| Запсибкомбанк | 4079,6 | 329,6 | 45,8 | 19,40% | 90,40% | 101,5% 8 | 16,00% | 57,20% | |
| Меткомбанк | 4103,5 | 310,9 | 48,2 | 15,90% | 72,40% | 103,20% | 4,80% | 69,20% | |
| Промсвязьбанк | 5276,2 | 964,7 | 136,3 | 20,60% | 52,60% | 70,80% | 13,30% | 31,90% | |
| МИнБ | 5419,9 | 981,5 | 55,4 | 18,70% | 46,70% | 71,00% | 12,60% | 27,40% | |
| Кредит Свисс ФБ | 5571,3 | 1545,7 | 765,4 | 51,60% | 510,00% | 148,50% | 31,50% | 84,90% | |
| Золото-Платина Банк | 5589,1 | 495,0 | 8,2 | 12,10% | 48,80% | 85,30% | 116,20% | 46,50% | |
| Креди Лионэ Русбанк | 5620,1 | 451,6 | 69,8 | 3,90% | 179,00% | 93,70% | Н.Д. | 63,40% | |
| Петровский | 5641,9 | 331,9 | 10,9 | 10,80% | 55,80% | 63,10% | 79,10% | 41,40% | |
| БИН | 5759,5 | 678,0 | 81,1 | 16,60% | 43,90% | 75,60% | 2,20% | 51,30% | |
| Транскредит | 6068,0 | 682,0 | 262,0 | 23,90% | 61,70% | 82,20% | 0,10% | 72,80% | |
| Конверсбанк | 6435,3 | 1843,5 | 89,4 | 34,50% | 33,40% | 63,80% | 15,50% | 34,50% | |
| Банк Австрия | 6613,2 | 1285,5 | 29,6 | 45,10% | 101,90% | 94,40% | 32,00% | 53,90% | |
| Ак Барс | 7010,4 | 2555,2 | 63,5 | 49,70% | 51,60% | 72,90% | 40,30% | 45,20% | |
| Дойче Банк | 7727,9 | 2409,4 | 645,7 | 98,60% | 75,00% | 109,50% | 17,20% | 45,70% | |
| Зенит | 7869,2 | 640,7 | 171,5 | 15,30% | 37,70% | 71,70% | 52,80% | 39,20% | |
| НОМОС-банк | 8432,9 | 1076,2 | 16,5 | 21,10% | 48,70% | 82,20% | 70,30% | 39,50% | |
| ИНГ Банк (Евразия) | 8628,9 | 1442,0 | 534,1 | 50,60% | 67,00% | 92,80% | 25,70% | 57,60% | |
| Возрождение | 8925,9 | 1135,3 | 5,4 | 19,20% | 42,20% | 71,30% | 30,60% | 22,80% | |
| АБН АМРО Банк А.О | 9866,3 | 1053,6 | 160,4 | 45,00% | 144,10% | 93,00% | 65,30% | 48,00% | |
| Петрокоммерц | 10235,9 | 697,3 | 251,9 | 17,60% | 93,50% | 100,40% | 9,10% | 71,60% | |
| Глобэкс | 11044,1 | 6821,1 | 4,8 | 49,40% | 43,30% | 369,70% | 0,20% | 22,40% | |
| Мост-банк | 11139,3 | 1007,7 | -41,9 | 10,50% | 4,70% | 7,70% | 27,90% | 3,50% | |
| Райффайзенбанк Австрия | 11492,0 | 647,8 | 47,4 | 7,60% | 54,00% | 56,60% | 170,60% | 44,40% | |
| Гута-банк | 11883,4 | 2090,1 | 70,9 | 19,10% | 46,20% | 87,20% | 21,90% | 46,30% | |
| Ханты-Мансийский банк | 12156,4 | 190,0 | 30,7 | 10,50% | 81,50% | 85,20% | 0,50% | 79,10% | |
| БНП-Дрезднер банк | 12478,5 | 50,1 | -140,9 | 1,50% | 99,70% | 124,40% | 26,00% | 51,60% | |
| Собинбанк | 12719,3 | 3776,6 | 67,8 | 27,40% | 41,60% | 125,80% | 5,80% | 51,50% | |
| НРБ | 13154,0 | 3777,2 | 153,8 | 61,40% | 77,70% | 110,90% | 27,00% | 14,40% | |
| Еврофинанс | 13235,7 | 1997,4 | 290,1 | 33,60% | 120,70% | 81,40% | 1,50% | 32,60% | |
| Менатеп-СПб | 14533,8 | 1501,4 | 128,0 | 16,00% | 77,00% | 92,00% | 16,10% | 47,80% | |
| Автобанк | 14651,7 | 1293,2 | 66,8 | 10,10% | 37,50% | 72,60% | 44,60% | 26,40% | |
| Промстройбанк | 16135,5 | 1180,2 | 271,6 | 10,20% | 48,60% | 78,20% | 115,80% | 35,70% | |
| МДМ-банк | 19415,0 | 4331,1 | 195,7 | 28,00% | 95,80% | 106,20% | 2,10% | 59,50% | |
| Башкредитбанк | 20699,2 | 2761,8 | 330,6 | 17,80% | 52,50% | 79,70% | 63,00% | 40,80% | |
| СитибанкТ/0 | 22051,4 | 2067,1 | 839,6 | 21,60% | 20,20% | 78,10% | 73,10% | 46,40% | |
| Госбанк | 24721,0 | 4095,2 | 257,7 | 24,40% | 82,90% | 83,50% | 27,10% | 42,20% | |
| ДИБ | 26751,1 | 2550,7 | 363,6 | 22,20% | 48,60% | 86,30% | 5,80% | 72,20% | |
| Банк Москвы | 29844,4 | 2477,4 | 53,8 | 13,40% | 26,90% | 59,60% | 80,10% | 39,50% | |
| Сургутнефтегазбанк | 37239,8 | 190,2 | 31,1 | 3,40% | 666,80% | 90,90% | 27,60% | 97,30% | |
| Альфа-банк | 46845,5 | 13420,8 | 1218,9 | 32,30% | 54,50% | 121,90% | 14,10% | 69,60% | |
| Межпромбанк | 57195,0 | 26084,0 | 306,2 | 51,80% | 51,60% | 101,50% | 15,80% | 33,60% | |
| ММБ | 60379,2 | 980,1 | -149,4 | 5,10% | 118,40% | 70,10% | 79,80% | 29,80% | |
| Газпромбанк | 71770,7 | 8019,5 | 355,2 | 12,40% | 34,50% | 82,80% | 166,70% | 39,10% | |
| Внешторгбанк | 83289,0 | 25 694.5 | 245,8 | 56,00% | 92,00% | 115,00% | 43,60% | 43,00% | |
| Сбербанк России | 474641,0 | 36019,6 | 5882,1 | 10,00% | 100,00% | 77,80% | 94,80% | 45,60% |
Для определения характеристик интервалов: равномерные неравномерные, визуализируем данные по возрастанию активов (без Сберегательного банка), см. рис. 3.1 (при использовании Excel выделив интервал данных, воспользуйтесь опцией «Мастер диаграмм»).

Рис. 3.1
Как видно из рисунка активы банков изменяются существенно не линейно и соответственно необходимо использовать неравномерные интервалы, изменяющиеся в арифметической (или даже геометрической) прогрессии. Кроме того, поскольку величина активов Сберегательного банка в 5.7 раза больше чем ближайшего к нему по величине активов Внешторгбанк в группировке он должен быть отражен в отдельной группе (сверхбольшие).
Величину интервалов совокупности (с исключенным Сбербанком) определяется на основании арифметической прогрессии. Рассчитываем теоретические групповые интервалы, а по ним определяем реальные интервалы (выбирается ближайшее к величине расчетной границы интервала значение активов), см. табл. 1.3.
Используя полученные границы интервалов, проводим группировку данных (см. табл. 3.3, где средние банки выделены серым цветом) и рассчитываем средние значений по каждой группе. Результаты расчетов сводим в аналитические таблицы (см. табл. 3.4 и 3.5). В таблице 3.5 приводятся средние значения показателей приведенных к одному банку, на основании которых можно судить о средних характеристиках банков в каждой из групп.
Таблица 3.3
Определение границ интервалов
| Оптим. интервал, h= (Xmax-Xmin)/n | Конс- танта прог- рессии a=h | Верхняя граница 1-го интервала h1=h0+h* | Верхняя граница 2-го интервала h2=h1+a | Верхняя граница 3-го интервала h3=h2+a | Малые | Средние | Крупные | Свер крупные |
| 26 724 | 26 724 | 29 841 | 56 565 | 83 289 | Х | Х | Х | Х |
| Расчетные границы диапазонов | нижняя | 3 117 | 29 841 | 56 565 | 474 641 | |||
| верхняя | 29 841 | 56 565 | 83 289 | 474 641 | ||||
| Реальные границы диапазонов | нижняя | 3 117 | 29 844 | 57 195 | 474 641 | |||
| верхняя | 29 844 | 57 195 | 474 641 | 474 641 |
*h0 - мин значение группировочного признака
Таблица 3.4
Сумма банков в группах и средние показатели по группам банков
| Группа банков | Кол-во банков | Активы, млн.руб | Собств. капитал, млн.руб | Прибыль, млн.руб | HI | Н2 | H3 | Н4 | Н5 |
| Малые | 27% | 76% | 95% | 32% | 49% | ||||
| Средние | 25% | 200% | 93% | 34% | 60% | ||||
| Крупные | 25% | 82% | 89% | 97% | 37% | ||||
| Сбербанк | 10% | 100% | 78% | 95% | 46% |
Таблица 3.5
| Группа банков | % суммы активов группы к общей сумме | % суммы собств. капитала группы к общей сумме | % суммы прибыли группы к общей сумме |
| Малые | |||
| Средние | |||
| Крупные | |||
| Сбербанк | |||
| Итого: |
Сравнение групповых показателей по активам и собственному капиталу показывают высокую степень расслоенности банков. Особняком стоит Сберегательный банк. Параметры «малых» банков отличаются от «крупных» по:
· активам - в 8 раз;
· собственному капиталу в 8 раз;
На основании данных табл. 3.4 можно сделать вывод. Средний норматив достаточности собственных средств и средняя норма ликвидностей банков, кроме долгосрочной (Н4), выше нормативных. Норматив долгосрочной ликвидности (Н4) приближается к нормативному только у Сберегательного банка.
На основании данных табл. 3.5 можно сделать выводы.
· Значительная часть активов сосредоточена в Сберегательном банке (36%) и малых банках (34%). То есть на средние и крупные баки приходится только 30% активов;
· Собственный капитал в группах примерно одинаков;
· Банковская прибыль в основном формируется в малых (47%) и Сберегательном банке (39%), что объясняется разными причинами: у малых баков рискованные активы, а в Сберегательном банке его объемных характеристик.
Для повышения аналитических возможностей анализа статистической связанности полученные в таблице 3.4 статистических характеристиках совокупности представляются в виде приведенных данных, когда значение средних значений столбцов делится на максимум столбца (например, активы каждой группы делятся на значение активов Сбербанка). Полученные приведенные данные сведены в табл. 3.6.
Таблица 3.6
Приведенные значения средних групповых показателей
| Группа банков | Активы, млн.руб | Собств. капитал, млн.руб | Прибыль, млн.руб | HI | Н2 | H3 | Н4 | Н5 |
| Малые | 0,02 | 0,04 | 0,02 | 1,00 | 0,38 | 1,00 | 0,33 | 0,81 |
| Средние | 0,09 | 0,29 | 0,07 | 0,94 | 1,00 | 0,98 | 0,36 | 1,00 |
| Крупные | 0,15 | 0,32 | 0,03 | 0,91 | 0,41 | 0,94 | 1,00 | 0,62 |
| Сбербанк | 1,00 | 1,00 | 1,00 | 0,37 | 0,50 | 0,82 | 0,98 | 0,76 |
На основании данных таблицы 5 строится графики изменения, см. рис. 3.2.

Рис. 3.2
На основании данных табл. 3.6 и рис. 3.2 можно сделать следующие выводы о статистической связанности между группировочным (факторным) признаком – активы банка и результативным показателями:
· связь с собственным капиталам существует и она прямая (изменение происходит в туже сторону, что и активы группы), при этом у средних банков она слабая;
· связь с прибылью не выявлена;
· связь с экономическими нормативами для банков: Н2, Н4, Н5 не выявлена;
· связь с нормативом Н1 и Н3 обратная и слабая (требуется оценка статистической достоверности связи).
Соответственно можно сделать прикладной вывод: по уставному капиталу банка можно относить банк к группе по величине привлекаемых им активов. На основании изменения величины уставного капитала можно прогнозировать изменение величины привлечения активов.
Величина активов и показатели ликвидности банков не связаны (связь с Н1 и Н3 не значительна).
4. Расчет основных статистик и оценка
корреляционной связи (Задача №2)
В работе необходимо рассчитать основные статистики.
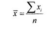
1. Средние величины. В практическом занятии рассчитывается показатель средней арифметической:

где хi, - значение признака; n - объем совокупности.
2. Размах вариации.

где хmax- максимальное значение признака; хmin - минимальное значение признака.
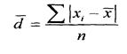
3. Среднее линейное отклонение.

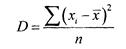
4. Дисперсия признака.

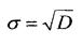
5. Среднее квадратичное отклонение.

6. Коэффициент вариации.

7. Линейный коэффициент корреляции.
Измерение тесноты и направления связи признаков друг с другом является важнейшей задачей статистического исследования социально-экономических явлений. Тесноту и направление связи между признаками можно измерить с помощью линейного коэффициента парной корреляции, который рассчитывается по следующей формуле:

8. Множественный коэффициент корреляции.
Множественный коэффициент корреляции вычисляется при наличии линейной связи между результативным и несколькими факторными признаками. Для оценки тесноты связи между результативным и двумя факторными признаками множественный коэффициент корреляции рассчитывается по формуле:

Коэффициент корреляции - это показатель, оценивающий тесноту линейной связи между признаками. Он может принимать значения от -1 до +1. Знак "-" означает, что связь обратная, "+" - прямая. Чем ближе коэффициент к 1 тем теснее линейная связь. Коэффициент =1 означает, что связь между признаками функциональная. Теснота связи оценивается по величине коэффициента корреляции [8]:
если | r | ≤ 0.3, то связь слабая или совсем отсутствует (необходимы дополнительные исследования статистической значимости коэффициентов);
если 0.3 ≤ | r | ≤ 0.5, связь умеренная;
если 0.5 ≤ | r | ≤ 0.7, значительная;
если 0.7 ≤ | r | ≤ 0.9, тесная;
если > 0.91, очень тесная.
Для практических целей Дворецкий рекомендует использовать значительные, тесные и очень тесные связи.
По величине коэффициента корреляции оцениваем связь между результативными и факторными признаками. Если коэффициент корреляции равен нулю, то линейная связь отсутствует, если коэффициент корреляции положителен, то связь между признаками прямая, если отрицателен, то связь между признаками обратная,
Значение множественного коэффициента корреляции лежит в диапазоне от 0 до 1 и тоже оценивается с помощью приведенных выше диапазонов положительных значений коэффициента корреляции.
9. Нормирование данных.
Нормирование позволяет привести показатели с разной физической сущностью и разными единицами измерения к единому формату в диапазоне от 0 до 1. Нормирование осуществляется путем деления модуля (абсолютной величины) всех членов выборки на максимальную величину данной выборки:
.






