Уже рассказывалось о некоторых устройствах, позволяющих воздействовать на передаваемые сигналы, с тем, чтобы улучшить передачу. Это фильтры, изоляторы, некоторые типы демультиплексоров и интерферометров, пассивные компенсирующие устройства, дифракционные (в том числе Брэгговские) решётки и т.д. К пассивным компонентам относятся также разветвители, соединители, коннекторы, аттенюаторы, циркуляторы, кабельные муфты и некоторые другие устройства.
15.1. Разветвители
Разветвители предназначены для распределения передаваемой мощности и отвода энергии, для разделения по длинам волн, по модам и т.д.
Разветвители могут быть звездообразные, древовидные (tree-coupler), симметричные Х- образные (например, 2х2), несимметричные Y-образные, Т-образные (например, типа 1х2), направленные и ненаправленные (у которых коэффициент деления зависит от направления) и т.д. В разветвителе происходит распределение мощности по портам, при этом возникают потери благодаря наличию рассеяния, поглощения, отражения. Дополнительные потери могут возникнуть вследствие рассогласования апертур и диаметров порта и подключённого оптического волокна.
Относительное распределение мощности по потерям может быть от 50/50 до 5/95, потери составлять от 0.1 до 3 дБ. Работа разветвителя характеризуется несколькими коэффициентами (см. рис.15.1):
|
|
|
коэффициент передачи (ответвления) α от = 10 lg (P1 /P2);
коэффициент направленности αн = 10 lg (P1 /P4), обычно от 40 до 55 дБ;
вносимые потери α = 10 lg [(P2 +P3)/P4 ] (от 0.1 до 3 дБ).
Порт 2 может быть основным, а порт 3 – заглушённым, тогда потери заглушенного порта равны α = 10 lg (P1 /P3).

Рис.15.1. Разветвитель 2х2.
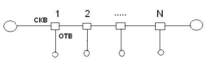
Если на линии установлено несколько (N) Т-образных разветвителей (рис.15.2) со сквозными потерями αскв и потерями ответвления αотв, то общие потери равны
α = (N-1) αскв + αотв,
поэтому общее число разветвителей должно быть ограниченным. Альтернативой Т-образному разветвителю является звездообразный разветвитель.

Рис.15.2. Линия с ответвлениями
В случае звездообразных разветвителей суммарные потери существенно меньше (рис..15.3).

Рис.15.3. Зависимость затухания от числа разветвителей Т-образных и звездообразных
Конструкции разветвителей могут быть различными: сварные (рис.15.4), с расщеплением пучка зеркалами (рис.15.5), с вращающимся зеркалом (рис.15.5), на основе дифракционной решётки (рис.15.6) и т.д.

Рис. 15.4. Сварной разветвитель

Рис.15.5. Разветвитель с зеркалом

Рис.15.6. Разветвитель на диффракционной решётке
15.2.Соединители
Соединители предназначены для соединения двух концов оптического волокна.
Бывают неразъемные и разъемные соединения ОВ. К неразъемным соединениям относятся: сварка ОВ, механические соединители, сплайсы.
|
|
|
Сварные методы соединения требуют наличия сварочного аппарата. При сварке происходит расплавление предварительно отъюстированных концов волокон электрической дугой с последующем их сведением и слиянием. При сварке современными сварочными аппаратами может быть достигнуто затухание от 0,01 – 0,02 дБ. Возникающие при сварке волокон силы поверхностного натяжения дополнительно снижают смещение осей сращивании волокон.
В случае когда невозможно добраться к мосту аварии на машине, применяются альтернативные виды неразъемные соединения. Самый распространенный из них – механический сплайс. Сплайс выполнен в виде пластины с кольцевыми напрягающими капилярами и прецизионной V-образной канавкой между ними. Канавка заполнена иммерсионным гелем. В канавку с обеих сторон вводят концы сращиваемых волокон. Сетоводы фиксируют механическим прижимом. Сплайс обеспечивает потери в соединении не более 0,2 дБ (a ≤ 0,2 дБ) при коэффициенте обратного отражения - 50 дБ (РОТР ≤ -50дБ).
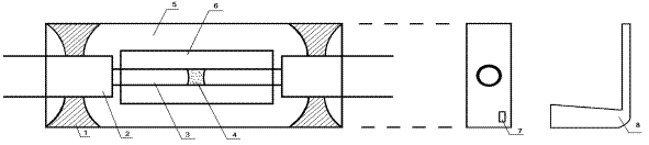
Рис.15.7. Сплайс
Важной особенностью сплайса является возможность его многократного использования до 5-10 раз. Причем количество циклом сборки – разборки ограничен только объемом иммерсионного геля в центральном элементе. Сплайсы могут применяться в локальных сетях, где не предъявляется жесткие требования на соединения.
Сплайс состоит из пластикового корпуса (5) с наружными габаритами 50х8х3 мм, внутри которого расположена металлическая пластина (6) с внутренней центрирующей трубкой (3) с диаметром 125 мкм, заполненной иммерсионной жидкостью (4) с коэффициентом оптического преломления 1.5. Фиксация волокна (2) в буферном покрытии 0.9 мм в корпусе сплайса осуществляется с помощью механических подпружиненных зажимов (1), приводимых в действие с помощью металлического ключа (8) с прямоугольным сечением рабочей части.(7)
15.3. Разъёмные соединители
К ним относятся коннекторы и розетки. Подавляющее большинство предназначено для соединения 2-х световодов. Имеются и для дуплексной связи (для 4-х световодов). Основные требования заключены в минимальных потерях, вносимых в тракт передачи; обеспечения долговременной стабильности; простоте изготовления и установки. Разъемные соединения допускают многократную сборку и разборку, не менее 100 циклов без ухудшения параметров и применяется в оптических тросах и для подключения к кабелю приемопередатчиков активного оборудования.
Основой большинства конструкций этих соединений является штекерный наконечник, который вставляется в юстирующий элемент в виде втулки, а сам соединитель состоит из 2-х частей – коннектора и розетки.

Рис. 15.8. Коннектор.
На фотографиях рис. 15.9 показаны образцы коннекторов
Образцы коннекторов
Коннектор FC | Коннектор FC/APC |
Коннектор SC | Коннектор SC/APC |
Коннектор SC дуплекс | Коннектор ST |
Рис.15.9. Образцы коннекторов.
Частным случаем коннектора служит адаптер, предназначенный для временного соединения с источником или приёмником излучения.
15.4. Аттенюаторы
Аттенюаторы служат для уменьшения мощности (в измерительной технике, для согласования затухания), так как слишком высокие уровни приводят к перегрузке приёмного устройства и нелинейности. Аттенюатор может быть выполнен в виде сплавного разветвителя или с воздушным зазором. Величина ослабления регулируется в пределах до 15 дБ, а иногда и до 35 дБ. Существуют также аттенюаторы на основе затухания изгиба.
15.5. Изоляторы и оптические циркуляторы
Изоляторы пропускают излучение только в одном направлении. В основе лежит эффект Фарадея. При взаимодействии с продольным магнитным полем плоскость поляризации сета поворачивается на 45 градусов. Обратный луч также поворачивается на 45 градусов, так что суммарный поворот составит 90 градусов. Вносимое затухание 1-2 дБ. Материалом ячейки является парамагнитное стекло или железоиттриевый гранит. Оптические циркуляторы представляют собой устройства с несколькими портами. Сигнал передаётся в одном направлении по кругу с возможностью ответвления. Циркулятор обычно также работает на ячейке Фарадея и пропускает свет только в одном направлении.
|
|
|
К пассивным компонентам относятся также соединительные муфты, но они рассматриваются в курсе строительства и монтажа. Некоторые типы устройств, используемых в волоконной оптике, такие как коммутаторы, волновые конвертеры и др., могут также работать как пассивные устройства, но не всегда и не все.
Коннектор FC
Коннектор FC/APC
Коннектор SC
Коннектор SC/APC
Коннектор SC дуплекс
Коннектор ST 





