Зубчатая передача устанавливается между двигателем и рабочей машиной и служит для уменьшения (а иногда для увеличения) угловой скорости и увеличения момента. Дело в том, что при той же мощности двигатель имеет тем меньший вес, чем больше скорость вращения его вала. В то же время скорость вращения вала рабочей машины определяется технологическим процессом. Так, для станков — это скорость, обеспечивающая экономическую стойкость инструмента, а для самолета — скорость вращения винта, работающего с наибольшим КПД. Например, вал турбовинтового двигателя вращается со скоростью 10 000 об/мин, а винт — со скоростью 1000 об/мин. Тогда передаточное отношение редуктора равно десяти.
Если принять для зубчатой пары Z1min = 20... 25 и Z2max = 125... 150, то для машинного привода наибольшее передаточное отношение пары

Знак “плюс” относится к внутреннему зацеплению, а “минуc” — к внешнему.
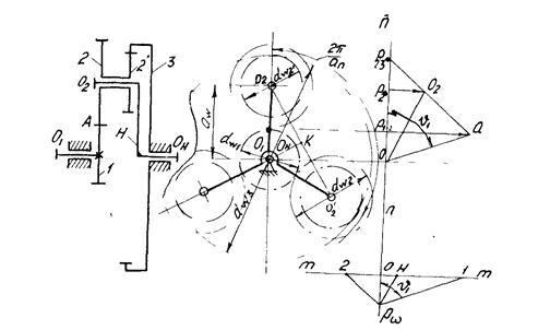
Для получения больших значений передаточного отношения применяют сложные передачи. Для транспортных машин широко применяются соосные многопоточные передачи, схемы и характеристики которых представлены в табл. 4.1. Это планетарные редукторы с отрицательным передаточным отношением обращенного механизма (u(н) < 0) с одновенцовыми (схема I, III) и двухвенцовыми (схема II) сателлитами. Число потоков мощности равно числу сателлитов an (рис. 4.1). Кроме того, используются соосные многопоточные простые передачи с неподвижными осями. Их можно получить из планетарных путем остановки водила и освобождения центрального колеса (схема (IV).
|
|
|
Таблица 4.1 Схемы и характеристики соосных передач


Рис. 4.1. Схема и картина скоростей планетарного редуктора с двухвенцовыми сателлитами.
Для получения больших значений передаточных отношении используются многоступенчатые передачи, являющиеся последовательным соединением передач по схемам I—I (схема V), либо сочетание этих передач с цилиндрическими парами. Общее передаточное отношение определяется как произведение передаточных отношений зубчатых пар на передаточное отношение планетарных ступеней:
uоб= uIпрост * uIIпрост … uI пл* uII пл
Последняя тихоходная ступень передачи является наиболее нагруженной и от нее зависят вес и габариты всей конструкции. Поэтому последнюю ступень следует выполнять многопоточной за счет применения от 3 до 6 (и более) сателлитов в планетарных передачах и промежуточных колес в простых соосных механизмах. Зубчатые же пары целесообразно использовать как быстроходные ступени, располагая их ближе к валу двигателя.
Расчеты на прочность показывают, что для уменьшения габаритов передаточное отношение на быстроходные ступени и бследует выбирать побольше, на тихоходные и т поменьше.
|
|
|
На рис. 4.2 приведена оптимальная с точки зрения снижения веса разбивка общего передаточного отношения u0 для двухступенчатого редуктора с одновенцовыми сателлитами по схеме V, табл. 4.1, состоящего из двух передач по схеме I, и для двухступенчатого редуктора с двухвенцовыми сателлитами, состоящего из двух передач по схеме II (данные в скобках). Этим графиком можно пользоваться в случае, если одна из ступеней простая.
Передаточное отношение любого планетарного редуктора определяется по формуле Виллиса


Рис. 4.2. График оптимальной разбивки передаточного отношения
Следовательно, схемы I, II, и III имеют отрицательное передаточное отношение в простой передаче, получаемой из планетарной путем остановки водила (схема IV) и называемой обращенной передачей. Передаточное отношение у передач по этим схемам лишь на единицу больше, чем у обращенных передач, зато КПД достигает 97—99%, что особенно важно при передаче большой мощности.
Именно схемы табл. 4.1 обеспечивают наиболее экономичную работу, что имеет решающее значение для транспортных машин.
4.2 СИНТЕЗ ПЕРЕДАЧИ С u(H) < 0 И ДВУХВЕНЦОВЫМИ САТЕЛЛИТАМИ
(схема II табл. 4.1 и рис. 4.1)
Передаточное отношение редуктора

При синтезе по заданному передаточному отношению необходимо выполнять следующие условия (рис. 4.1):
1. Условие соосности:

Исходя из выполнения этого условия в табл. 4.2 даны предельные значения передаточных отношений.
Таблица 4.2


Для упрощения подбора чисел зубьев эти выражения преобразуем. Обозначим через l и k отношения модулей и чисел зубьев венцов сателлита, представив их в виде отношения простых чисел:

Для стандартных значений модуля величина l может быть выбрана из ряда табл. 4.3.
Таблица 4.3.
| 1/2 | 11/20 | 3/5 | 13/20 | 7/10 | 3/4 | 4/5 | 17/20 |
| 9/10 | 1,00 | 11/1O | 5/6 | 5/4 | 13/10 | 7/5 | 3/2 |


Рис. 4.3. График для определения параметра k=z2/z2¢ в планетарном редукторе с двухвенцовыми сателлитами

Так как числа зубьев должны быть целыми, то величина должна быть кратна наибольшему знаменателю в формулах для чисел зубьев, т. е. в нашем случае кратна 20. Можно принять с == 20; 40; 60; 80; 100.
Выбираем на основе анализа вариант с с=80. Тогда z1 =20; z3 = 88; z2¢= 24; z2= 60.
Уменьшение с приводит к необходимости коррекции смещением инструмента, а увеличение ведет к росту чисел зубьев колес, что может привести к росту габаритов.
Если передаточное отношение — число не целое, числа зубьев могут получаться слишком большими. В этом случае приходится делать несколько попыток, меняя значения l, k, а иногда и u1H(3) (последнее значение в пределах 2—3%, не более). Данные на графике рис.4.3 — рекомендуемые и от них можно отступать, но всегда в сторону увеличения k.






